ID 923

Algebra  K12Choose the condition when the inequality
(2 + n)n > (1 + n)n
is always true.



ID 928

Algebra  K12Which of the following points lies on the line
3x + 4y = -12



ID 933

Algebra  K12Line AB has the equation

y = 0.5x + 3

Line CD is parallel to line AB.

Identify the equation for line CD



ID 937

Algebra  K12Which equation describes a line of symmetry for the shape?



ID 939

Algebra  K12Find the center of the prism with the following vertices.

A(1,1,1), E(3,3,3),
B(5,1,1), F(7,3,3),
C(5,1,7), G(7,3,9)
D(1,1,7) and H(3,3,9).



ID 965

Algebra  K12Which of the following graphs represents all values of x, such that:



ID 995

Algebra  K12How many digits are in the result of the expression?

100111



ID 1084

Algebra  K12Which of the following gives the biggest answer?



ID 1096

Algebra  K12 If y is the fraction of the white area of the square, which graph shows the y – x dependence correctly?



ID 1115

Algebra  K12How many integer values of x are the solutions of these two inequalities?



ID 1152

Algebra  K12Find the point of intersection of these two lines.



ID 1188

Algebra  K12Which equation represents the axis of symmetry of the graph of the parabola?



ID 1196

Algebra  K12Three points of four are on a line.
Which point is not on the line?



ID 1356

Algebra  K12Xia and Yvonne collect buttons.
Xia only collects the ones with two holes and Yvonne only collects the ones with four holes.
Xia has 10 more buttons than does Yvonne.
The total number of holes found in all of their buttons is 200.

How many buttons do they have in total?



ID 1515

Algebra  K12Ten teams enter a basketball tournament.
Each team plays one match against each of the other teams, getting three points for a win, one point for a draw and none for a defeat.

Which of the following is a possible value of the total number of points earned by the teams at the end of the tournament?



ID 1782

Algebra  K12How many points of intersection do these three rays have?



ID 1927

Algebra  K12A square game board begins with a dark square alternating with light squares.
The ratio of light to dark squares is approximately 0.96.

What are the dimensions of the game board?



ID 2254

Algebra  K12Which function gives the angle in degrees between the hour and the minute hands of a clock?

Assume that H is the hours and M is the minutes.



ID 3636

Algebra  K12Find Y.



ID 3698

Algebra  K12Estimate the ratio of the large rectangle width to height if the two rectangles in the picture are similar.



ID 3767

Algebra  K12How many solutions are there for X?



ID 3836

Algebra  K12A swimming pool is 12.5 x 8 x 3 meters.
The average volume of a human body is 0.066 cubic meters.
How much does the volume change if 10 swimmers jump into the pool?



ID 3878

Algebra  K12In an examination, there were 4000 candidates, of which 2200 candidates were boys and the rest were girls.

If 45.5% of the students and 40% of the girls passed, then how many boys passed?



ID 3880

Algebra  K12A tree increases its number of nuts at the rate of 100% every year.

What was the number of nuts 5 years ago, if this year it gave 3,200 nuts?



ID 3881

Algebra  K12What amount of water should be added to reduce 200 milliliters of 5 percent fat milk to 2 percent fat milk?



ID 3883

Algebra  K12A car starts traveling at an initial speed of 120 km per hour (kmph), the maximum allowed speed in Switzerland.
At the end of every hour of driving the speed is suddenly decreased by 5kmph.

How much time will it take to travel a distance of 500 km?



ID 3897

Algebra  K12What are the smallest and largest integers that will make this expression true?



ID 3915

Algebra  K12Evguenia walked to school.
Twelve minutes after she left, Sasha started.
His speed was triple Evguenia’s speed.

How many minutes did it take for him to catch the girl?



ID 3919

Algebra  K12There are 190 coconuts in a basket.
Sailors one after another take out half of them and one each time until one is left.

How many sailors are there?



ID 3923

Algebra  K12The weights of each pair of these boxes are 98kg, 101kg, and 102kg.

What is the difference between the heaviest and the lightest box?



ID 3926

Algebra  K12Mike’s age, M, is equal to the sum of the ages of his four children.
His age N years ago was twice the sum of their ages then.

What is M/N?



ID 3929

Algebra  K12Two trains, each 400 meters long, pass each other completely in 10 seconds when they are moving in opposite directions. Moving in the same direction, they pass each other completely in 20 seconds.

Find the speed of the faster train.



ID 3933

Algebra  K12Two tourists paddled downstream for 2 hours and then upstream for 4 hours.
The rate of the current was 4 mph.
When they stopped, they were 12 miles downstream from their starting point.

How many hours will it take them to paddle back to their starting point?



ID 3937

Algebra  K12A group of 22 scouts goes on a trip.
They prepare enough food to last 18 days.

If 14 additional scouts join them at the last minute, how many days will their food last?



ID 3938

Algebra  K12The Smith family consists of parents, children, and animals. Some of them are absent in the picture.
The average age of the family is 22; the father is 42 years old and the average age of the others without the father is 20.

How many people and animals are there in the family?



ID 3954

Algebra  K12In a city, sixty percent of the men are married to eighty percent of the women.

Estimate the percentage of the married adults in the city.



ID 3956

Algebra  K12"A coach leaves London for York and another at the same moment leaves York for London. They go at uniform rates, one faster than the other. After meeting and passing, one requires sixteen hours and the other nine hours to complete the journey.

What total time does each coach require for the whole journey?"

Lewis Carroll



ID 3960

Algebra  K12How many "yes or no" questions are needed to guess any 5-digit code?



ID 3967

Algebra  K12A series of 10 books were published at two-year intervals.
The sum of the publication years was 20,000.

When was the first book published?



ID 3978

Algebra  K12The product and sum of two positive integers X and Y are added together. The result is 224.

How many different sets of X and Y exist?



ID 4000

Algebra  K12In a recent election, 1111 people voted for two parties.
If the ratio of the number of voters for the Coffee Party to the number of voters for the Tea Party was 10 : 12, how many more voters for the Coffee Party would make the score equal?



ID 4004

Algebra  K12The wind in the open-air swimming pool increases the westward swimming speed and decreases the eastward swimming speed by 1 mile per hour.

Will this swim take more or less time than the swim without the wind?



ID 4029

Algebra  K12Find x.



ID 4068

Algebra  K12X + XY + Y = 34
Find all positive integer solutions of the equation, for which neither X nor Y is zero.

What is largest possible value of X ?



ID 4270

Algebra  K12What is the sum of the squares of the whole numbers from 1 to 10?



ID 4425

Algebra  K12Divine the value of the Divine proportion AC.



ID 4491

Algebra  K12The balance is in equilibrium.

Find Z.



ID 4897

Algebra  K12If 3 pens and 5 pencils cost as much as 5 pens and 2 pencils, by how much is a pen more expensive than a pencil?



ID 4912

Algebra  K12Gerry and Jane are exactly 100 km apart.
Gerry leaves his place running at 10 km/hour and Jane leaves her house two hours later biking 30 km/hour.

How far to Jane's house do the young people meet?



ID 4920

Algebra  K12How many pairs of prime numbers add up to 101?



ID 5020

Algebra  K12The occupancy percentage of a hotel is 64% for the four summer months and 46% for other months.

What is the average occupancy percentage for the year?



ID 5026

Algebra  K120.123123123123123 . . . .
What fraction is it?



ID 5037

Algebra  K12Water increases its volume by 1/11 when freezing.

By what part of its volume will ice decrease when it melts and turns back into water?



ID 5044

Algebra  K12If the sum of two numbers is 9 and their difference is 11, what is their product?



ID 5129

Algebra  K12Two men and two women want to cross a river.

The boat will only hold one man or two women.
How many times does the boat cross the river?

Find the minimum number.



ID 5167

Algebra  K12The stand-in mathematics teacher is forced to choose two students to go on a field trip and he can only choose between the two best girls and the two best boys in the class. He hates the idea of a girl being paired up with a boy, but knows that if he first picks a boy it is much more likely that the next pick will be a girl.

He devises this scheme: He labels 4 otherwise identical tokens with the names of the four students. He puts the tokens into a bag and then reaches in and takes two tokens at exactly the same time, one in each hand.

What is the chance of a boy being paired with a girl with this cunning plan?

The problem was suggested by Leslie Green



ID 5168

Algebra  K12Leslie Green asks:

Given Cartesian axes of infinite extent, find the ratio of the areas below to above the semi-infinite 45° inclined blue lines shown.



ID 5177

Algebra  K12Find the ratio of the areas above and below the parabola

y = x2,

given that the axes and the parabola are of infinite extent.

(NOTE: the area below the X-axis is not considered.)



ID 5255

Algebra  K12A grocery store sells Brazilian cacao in 15-kg bags and Ecuadorian cacao in 25-kg bags.
A restaurant bought a total of 95 kg of cacao.

How many bags of cacao did it buy?



ID 5272

Algebra  K12A cube is painted on the outside and then divided into one-unit cubes. The total number of painted faces equals the total number of unpainted faces.

What was the side length of the cube before it was painted?



ID 5321

Algebra  K12Which of the following is equal to fourteen divided by nine?



ID 5348

Algebra  K12There are 1000 students in a high school.

20% of girls and 30% of boys were on a 3-day trip to the Wild Adventure National Park.
There is a total of 240 students and 20 teachers on the trip.

What is the ratio of boys to girls in the school?



ID 5574

Algebra  K12The sum of the first N positive odd integers is N2.

What is the sum of the first N positive even integers?

{Evens} = {..., -6, -4, -2, 0, 2, 4, 6, ...},
{Odds} = {..., -5, -3, -1, 1, 3, 5, ...}



ID 5870

Algebra  K12Express X by two other variables.



ID 5983

Algebra  K12The image shows two parabolas,

f(x)= x2 - 4 and g(x) = -x2 + 4.

Estimate the area enclosed between the two curves.

Author: Leslie Green



ID 6256

Algebra  K12Leslie Green asks:

We put something into the blue box and something new comes out.

Now we are asking what do we need to put in to get something?

Can you decode the mystery of this 300+ year old mathematics?



ID 6678

Algebra  K12Two ships are at a distance of 30 nautical miles from each other. They each sail with a constant speed, while the first ship at 20 knots is twice fast as the second.

What is the maximum possibile time the first ship has to sail to intercept the second one?

The problem is derived from the Apollonius pursuit problem. The circle of Apollonius is any of several types of circles associated with Apollonius of Perga, a renowned Greek geometer.

The knot is a unit of speed equal to one nautical mile (1.852 km) per hour, approximately 1.15078 mph.



ID 7119

Algebra  K12Which area is larger?



ID 7209

Algebra  K12What is the complex conjugate of

a + b.i

?



ID 7210

Algebra  K12What is the magnitude of the complex number of

a + b.i

?



ID 7211

Algebra  K12Which of these is a complex number?



ID 7225

Algebra  K12The determinant of a matrix can be represented by the same symbols as magnitude bars, but it is also convenient to use det ( ) in text-based applications.

What is the value of det ( I x C x I ) , where I and C are defined in the image to the right?



ID 7232

Algebra  K12What is the sum of W and Y?



ID 7233

Algebra  K12What is the product of W and Y?



ID 7234

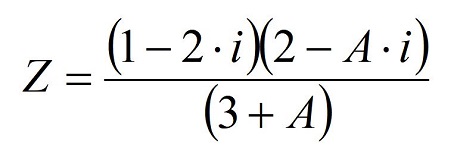
Algebra  K12For which value of the real constant A is the imaginary part of Z equal to zero?



ID 7236

Algebra  K12The product of three consecutive integers (whole numbers) is equal to their sum.

How many sets of the three numbers exist?

Presh Talwalkar credits the problem to Ken Edwards



ID 7240

Algebra  K12 How many different values of x make the equation true?



ID 7241

Algebra  K12Which of these complex numbers is not one of the four fourth-roots of 16?



ID 7314

Algebra  K12Leslie Green asks:

In elementary Calculus we are often given y as a function of x and have to evaluate dy/dx.
In real life we do not necessarily have y and x.

Suppose we have V = ktimes;p
where k is a constant.

What is dV/dt?



ID 7354

Algebra  K12Alex, Bill, and Cindy leave for a beach 25 miles away. They walk at 4mph (miles per hour) and travel in a car at 38mph.
First, Alex walks, Bill and Cindy travel in a car. After some time Bill gets out the car and walks to the beach while Cindy goes back and picks up Alex. Cindy takes Alex to the beach.

If Alex and Bill walk the same distance and all three arrive at the same time, how far does Alex walk?