Leslie Green's Puzzles



ID 5138

LeslieGreen K11Computer Update Problem
I spot a computer at work which is doing updates.
When I arrive it says '93% complete'.
I immediately start timing the activity and it takes 8 minutes to change to '95% complete'.

Assuming the 'percentage complete' relates directly to time, how much longer will it take to reach '100% complete'?



ID 5139

LeslieGreen K12Eugenia wants to make a simple bridge for her dog. Currently he has to run through a tiny stream in the back garden and then walks mud into the house. Since Eugenia’s dad owns and runs a machine shop, she can easily get a single sheet of steel, aluminum or wood to bridge the stream.

The length suits the size of the stream, the width suits the size of the dog, and the weight will be as much as she can carry.
The strength of a plain sheet is proportional to the relative strength of the material, its width and the cube of its thickness.

Which of the available materials makes the strongest bridge?



ID 5143

LeslieGreen K12Now that I have made a vast fortune from my patented premium dog biscuits, I can afford to build the luxury mansion of my dreams.

I thought my design requirement was very clear: The water for the walk-through shower can be turned ON and OFF from both ends of the room.

The plumber doesn't understand so I have drawn him a plan. I had a few attempts before I got it right!

Which is the correct drawing?



ID 5146

LeslieGreen K11 A plastic ruler is much easier to bend in one direction than another according to the proportionality shown, where b is the breadth and d is the depth of the rectangular cross-section.

The ruler can be approximated as being 1mm thick and 20mm wide.

How much stiffer is it in the hard-to-bend direction?
WARNING: Unless the ruler has some sort of anti-shatter statement written on it, do not try bending it like this without using eye protection. Older designs of rulers are known to shatter and eject bits of plastic into nearby eyes.



ID 5147

LeslieGreen K11I roll two dice, one with the left hand and one with the right.
If the left hand die gives an odd number, the overall score is zero.
If the right hand die gives an even number, I roll it again and again until it is odd.
The score is the sum of the two numbers, except for the previously mentioned case.

There are exactly 6 possible scores: 0, 3, 5, 7, 9, and 11.

What is the probability of a score of 3?



ID 5148

LeslieGreen K12I roll two dice, one with the left hand and one with the right.
If the left hand die gives an odd number, the overall score is zero.
If the right hand die gives an even number, I roll it again and again until it is odd.
The score is the sum of the two numbers, except for the previously mentioned case.

There are exactly 6 possible scores: 0, 3, 5, 7, 9, and 11.

What is the average score?



ID 5152

LeslieGreen K12There are two gods named Orbis and Fidelis, one on your left, the other on your right, but you do not know which is which. Fidelis always answers correctly. Orbis only answers alternate questions correctly; you do not know if his last answer was correct.

You must determine which god is which using the minimum number of YES/NO questions. How many questions do you need to be certain?

To clarify the matter, if Orbis is answering incorrectly your entire question is evaluated correctly and then the answer is reversed. A single question to both gods counts as two questions.
Inspired by G. Boolos. 'The hardest logic puzzle ever', The Harvard Review of Philosophy (6), 1996.



ID 5164

LeslieGreen K12I am allergic to washing powder, but I don’t want my shirt to smell. The dermatologist has told me to reduce the total amount of washing powder residue on my shirt to less than 1 pico-gram. (I think he just made that number up on the spot!)

My dry shirt measures 280g, but after washing and spin-drying it weighs 350g. The washing and rinsing uses 21 L of fresh water for each operation. I wash my shirt with one 30g tablet of washing powder.

How many times do I have to rinse my shirt to reach the required non-allergenic state?

(remember that the density of water is 1g / mL, 1000 mL = 1 L, 1 pico-gram = 10-12g).



ID 5166

LeslieGreen K11Sammy the sea lion has spotted a gorgeous Lady sea lion before anyone else. She is in the sea and he is on the beach. The picture shows the distances in hundreds meters. He needs to get to her as soon as possible to avoid any potential rivals getting to her first.

He can travel three times faster in the sea compared to on the sandy beach over the distances involved.

Which route should he use?



ID 5167

LeslieGreen K12The stand-in mathematics teacher is forced to choose two students to go on a field trip and he can only choose between the two best girls and the two best boys in the class. He hates the idea of a girl being paired up with a boy, but knows that if he first picks a boy it is much more likely that the next pick will be a girl.

He devises this scheme: He labels 4 otherwise identical tokens with the names of the four students. He puts the tokens into a bag and then reaches in and takes two tokens at exactly the same time, one in each hand.

What is the chance of a boy being paired with a girl with this cunning plan?



ID 5168

LeslieGreen K12 Given Cartesian axes of infinite extent, find the ratio of the areas below to above the semi-infinite 45° inclined blue lines shown.



ID 5169

LeslieGreen K11 Find the ratio A/B where A is the number of elements in the set of all positive integers
and B is the number of elements in the set of all even positive integers.



ID 5170

LeslieGreen K10Evguenia's birthday parties are always the same, and always boring. She gets seated at the table first. There are three other places set with named seating positions. Granddad always arrives next, and since he refuses to wear his glasses he always sits in a random position. Then her Aunt arrives, and if her place is free she takes it. Otherwise she sits in a random position. Then her mother arrives, and if her seat is taken she is grumpy all evening.

What is the probability that her mother gets to sit in her named seat?



ID 5171

LeslieGreen K8 A road traffic junction has no provision for pedestrians. The traffic lights are just changing to stop the RED and ORANGE cars. The GREEN and BLUE cars are next to go. Pedestrians A and B will only start to cross once all cars are stationary.

Compare the crossings for A and B.

(NOTE: Some jurisidictions allow drivers to pass red lights when turning, but that is not allowed at this crossing.)



ID 5173

LeslieGreen K10Jane and Gerry work at a call center selling worthless rubbish to unsuspecting customers. They are in competition with each other to be the best seller today. In the morning they work from the easy customer list and in the afternoon they are forced to work from the difficult customer list.

In the morning Jane sells to 90 out of her 100 calls, whereas Gerry sells to 85 out of his 100 calls. 90% to 85% means Jane wins.

In the afternoon Jane sells to 30 out of her 100 calls, whereas Gerry, who is sad that Jane is winning, only makes 20 calls, and only makes 5 sales. With 30% to 25% sales figures, Jane again wins.

At the end of the day the boss totals the sales, totals the calls, and computes the aggregated percentage successful sales figure for each seller.

Who wins the competition?



ID 5175

LeslieGreen K9The King of a far away land needs to adjust the temperature of the shower all by himself. The inconsiderate servant who normally performs this duty has broken his leg and is therefore unavailable. (The King has failed to realise that kicking the servant caused the servant to trip, breaking his leg because of the fall!)

The King requires a flow rate of 4 liters per minute of 40°C water to be derived from two calibrated hot and cold water taps. The cold water is at 10°C and the hot water is at 50°C. The mixing unit does not change the calibration of the taps or allow heat to be lost from the water.

What settings are required on the taps?



ID 5178

LeslieGreen K8The King of a far off land has just had the ballroom lights in his palace rewired by probably the most illogical and incompetent electrician in the land. Instead of each of the 8 up/down switch positions turning on one of the banks of lights in the ballroom, each switch has to be in exactly the correct up/down state in order to make all the lights come on at once. In every other switch position all the lights are turned off.

Needless to say the incompetence of the electrician enraged the King so much that the electrician was executed in a gruesome way the same day.

Unfortunately, for some inexplicable reason, electricians seem reluctant to come and fix the problem. The Chief Steward needs to devise a plan to turn the lights on and off every evening so the King isn’t made to look foolish in front of his important guests over the coming weeks.

How many switch positions need to be changed every night to meet the requirements?

Changing any switch lever from down to up, for example, counts as one position change.



ID 5179

LeslieGreen K9Modern petrol-electric hybrid cars typically have so many sensors that you can do interesting things like measure, log, and plot the power going to the wheels. This is such a plot, measured on level ground during the course of one day with relatively constant temperatures, no rain, and not especially windy.

Below 30 mph the car was running on electric power only. Above that it was doing its own hybrid thing with the engine running.

What can you conclude from the plot alone?

(NOTE: The power should at least double every time you double the speed since at twice the speed that part of the journey is half as long.)



ID 5180

LeslieGreen K12 Criminal gangs have been known to pay vagrants to search through people’s refuse to find useful information like bank statements, credit card statements, receipts and so forth. With such personal information the criminals can then pretend to be the householder and take out loans, buy things or do other bad things having stolen somebody’s identity.
Steve is fairly careful about shredding such documents, but about 5% of the time an important document slips into the refuse unshredded. Fortunately, unless he is being specifically targeted, it is pretty unlikely that somebody will be going through his refuse every week. Let’s put the odds at 1 in 1000 for each weekly collection.

Assuming that if Steve fails to shred a document, and if the criminals are searching his bins at that time, his identity will be stolen, what is the chance of that happening in a 10 year period?



ID 5209

LeslieGreen K12 It has been several years since the Apocalypse, but the Zombies still seem to be everywhere. I have been caught out in the open on my own and am now surrounded by 3 hungry Zombies, intent on eating my brains. Fortunately I have 6 rounds (“bullets”) in my gun. Unfortunately the ammo is old and degraded so it only works 80% of time. Also, although my aim is excellent on a shooting range, my shots are inaccurate when I am nervous, for example when I am surrounded by Zombies! It turns out that the closer they get, the more nervous I get, so the chance of my getting a shot to their head is only 63%. (Everybody knows that only a shot to the head will kill a Zombie). I worked it out, there is roughly 50% chance that any particular round will end up killing a Zombie.

There is just enough time to fire off all 6 rounds.

What is my chance of living to fight another day?



ID 5210

LeslieGreen K1The more debt you get into, the more credit card companies profit. If you buy $100 of goods at a shop you owe the credit card company $100, but typically the shop only gets $98. The shop has to inflate its prices to pay the credit card company. Typically the shop is contractually not allowed to give a discount for cash.

The CostCrashers supermarket chain deals only in cash. The CardPayers supermarkets deals both with both cash and credit card transactions, although 75% of people pay by credit card.

All else being equal, how much cheaper could the CostCrashers prices be compared to the CardPayers supermarkets, given the figures stated earlier?



ID 5212

LeslieGreen K9 It is difficult to see a 2% price difference between food items in two different food stores, but the difference becomes noticeable over time.

If the weekly family shopping bill is $200, how much money does a 2% reduction make over the course of a year.



ID 5213

LeslieGreen K12Shops have sales all the time to attract your business. Let the buyer beware! Not all sales are as good as others.

Given the same branded goods being sold, and the same quality of after-sales service, which shop offers the best value, given that two weeks ago all had the same price.



ID 5214

LeslieGreen K11 Income tax is a strange concept when inflation is taken into account.

At the end of one year with a 1% interest rate and a 2% rate of inflation, what is the tax owed on a $10,000 saved amount, given a 20% income tax rate?



ID 5215

LeslieGreen K10 Some forms of loans are more iniquitous than others. Find the loan method with the most extortionate rate.

(Definition: Iniquitous – grossly unfair and morally wrong)

NOTE: in some regions, Lenders are required to state the Annual Percentage Rate (APR) in order to make comparisons easier.



ID 5216

LeslieGreen K12Jane was a naughty little girl. When she used to play 2-dice games with her late grandfather she always used to cheat. Her grandfather would pretend not to notice that the dice had landed and that she quickly changed one of the dice to her advantage. Specifically, if it was her throw she changed the lowest die to a 6. If it was his throw she changed the highest die to a 1.

Over a long run of throws, how much bigger was Jane’s average score than her grandfather’s?



ID 5217

LeslieGreen K8 My Interocitor is broken. Fortunately I have replacements for every single part and each part takes the same time to fit as any other. I also know that the designers were so unbelievably clever that it is inconceivable that one faulty part would cause other parts to fail.

The Interocitor has 60 parts, all of which are different, and I can change from one part to another in 10 seconds without even turning the power off (hot-swappable parts). I will know that it is working immediately.

What is the minimum time in which I can guarantee to have fixed it?

An interocitor is a fictional multi-functional device that first appeared in the 1949 story "The Alien Machine".



ID 5218

LeslieGreen K11A certain Professor of Statistics is trying to explain to his grandson that once an event has happened its probability of happening is 1 because it is certain that it happened. The grandson disagrees.

The grandson throws a pair of dice and as they are about to settle puts a bowl over them, preventing the Professor from seeing the result. The grandson then peeks at the dice, knowing the value. He then explains that he could now show these dice to an infinite number of people, other than the professor, and yet the professor still could not declare with certainty what the result was, despite the fact that on average, everybody knew!

What can we say with certainty about this situation?



ID 5221

LeslieGreen K12 My neighbor John has invented a perpetual motion machine. It pumps water with no apparent power input and can even pump water up over a 2m fence.

How would you categorise this invention?



ID 5222

LeslieGreen K12 What is the next number in the sequence?

0, 3, 1, 4, 2

(NOTE: It is a single sequence and not two sequences interleaved.)



ID 5223

LeslieGreen K11Three observers, not more than 1km apart on flat windless terrain, report the same event quite differently.

They meet up later. Amy says the low frequency sound occurred first, followed by the high frequency sound about 1 second later. John says she is an idiot and claims the high frequency sound happened first, followed by the low frequency sound. Their teacher recorded the event and can prove that both sounds occurred within 0.01 seconds of each other, but being a kind teacher doesn’t actually tell them they are both stupid.

Which possible true statement demonstrates the least incompetence in the observers. . .

(HINT: the speed of sound does not change significantly for the frequencies heard, and there are no temperature gradients or fog to consider.)



ID 5225

LeslieGreen K11 "My neighbor a famous Professor of Physics has an excessively old and doddery gardener who knows absolutely nothing about basic science. Nevertheless this disrespectful old gardener insists that the Professor does not need to install an electric power cable all the way down to the ponds to power a fountain pump. The decrepit gardener insists that he has seen such a setup when he was a child and that it required no external power, had no electric motor, and could spray water well above the height of the source pond - but has no idea how. The Professor is still listening because the power cable will cost thousands of dollars to install.

What should he do?"



ID 5227

LeslieGreen K8 "Consider which would hurt less if it was accidentally dropped on your foot, a 30kg bag of cacao beans or a 30kg bag of feathers."



ID 5228

LeslieGreen K10 "Endocrinic Igorosis is a horrible disease with a 100% mortality rate for the infected. Even after 5 years nobody knows how it spreads. The fatality statistics have been steady at 100 people per 100,000 of the population every year. A remarkable cure has been found which is 100% effective at curing the disease, but only if administered before any symptoms are visible. Sadly, if the cure is given to anybody who is not infected then 3% of them will die. The latest test is 100% effective at finding this awful disease, but has a false positive rate of 5%.

How do we save the greatest number of people?"



ID 5229

LeslieGreen K8 "You accidentally knock an almost full opened can of soft drink over onto a carpeted floor.

Roughly how long have you got to make the can upright before over half of the contents are spilled?"



ID 5230

LeslieGreen K6 "Henrietta is threading the last bead onto a necklace when Tabby the cat brushes past the bowls of undrilled beads, knocking them over.

500 rondelle beads, 400 square rondelle beads, and the teardrop beads all end up on the work bench. Being startled by the falling beads, she drops the last bead onto the bench. There are now 1000 beads all mixed up on the bench and Henrietta need to find the one drilled bead she just dropped amongst all the undrilled beads.

Henrietta can't see the drilled hole without using the magnifier - which is on another bench. The drilled bead is neither a rondelle nor a square rondelle.

What is the chance she will pick the drilled bead on the first attempt?"



ID 5231

LeslieGreen K10In a particular city it is illegal for those aged over 18 to consume children's chocolate drinks. Jack is walking home and drinking a chocolate drink. Sadly he is now 3 months too old to do so. When he sees a cop he therefore runs away and dumps the drink over a fence. The cop arrests him and charges him with arson. WHAT! Jack was wearing a green coat and the arsonist was seen wearing a green coat. At the police station the cops claim that only 2,000 people in this city of 100,000 people wear green coats. The odds of randomly finding him were therefore 2,000/100,000 making it 98% certain that he is the guilty party.

Using the evidence presented, what is the correct conclusion?



ID 5234

LeslieGreen K11There are two gods named Mendax and Fidelis, one on your left, the other on your right, but you do not know which is which. Fidelis always answers correctly. Mendax only answers one question in 7 correctly in a repeating cycle. You do not know which part of the cycle Mendax is currently on.

You must determine which god is which using the minimum number of YES/NO questions. How many questions do you need to be certain?

To clarify the matter, if Mendax is answering incorrectly, your entire question is evaluated correctly and then the answer is reversed. A single question to both gods counts as two questions.
Inspired by G. Boolos. 'The hardest logic puzzle ever', The Harvard Review of Philosophy (6), 1996.



ID 5236

LeslieGreen K11There are three goddesses named Mendax, Fidelis and Furtibus; one on your left, one on your right, and one in front. You do not know which is which. Fidelis always answers correctly. Mendax only answers falsely. Furtibus always answers in a way intended to best hide its identity.

You must determine which goddess is which using the minimum number of YES/NO questions. Each question is heard and answered by all three goddesses. That counts as one question.

How many questions do you need to ask in order to be certain?

[You should ideally think up actual questions before answering!]

Inspired by G. Boolos. 'The hardest logic puzzle ever', The Harvard Review of Philosophy (6), 1996.



ID 5238

LeslieGreen K12 "Suppose a particular nuclear waste material has a half-life of 100 years.

What could you do to reduce the radioactivity of the material itself to less than 7% of its current value?

(The half-life of a radioactive material is the time it takes, on average, for half of it to change into something else by spontaneous radioactive decay.)"



ID 5245

LeslieGreen K9Dieter's new design of frequency-doubling power converter has an efficiency of 40%, a good figure for this particular type of device.

Kerstin's design is half the price so it is worthy of consideration, despite the fact that for the same power input, Kerstin's design produces 25% less output power than Dieter's.

What is the efficiency of Kerstin's design?

[ NOTE: Efficiency = 100% x (output power) / (input power) ]



ID 5252

LeslieGreen K12 A phrase you will hear on the news or from people speaking is "the vast majority of".

As a silly example you might hear something like
"The vast majority of people with big noses also have big ears."

What is the mathematical definition of the phrase "the vast majority of"?



ID 5273

LeslieGreen K8 There is a fault with the cruise control on Hank's car such that the speed continuously and linearly increases with time.

When he starts off the speed is set to exactly 60 mph. He is driving on a long straight route with the radio on at full blast and he is not paying any attention to his speed. After 3 hours he notices that his speed has now reached 80 mph.

How far did he travel in the first 3 hours?



ID 5274

LeslieGreen K12 There is a fault with the cruise control on Hank's car such that the speed continuously and linearly increases with time.

When he starts off the speed is set to exactly 60 mph. He is driving on a long straight route with the radio on at full blast and he is not paying any attention to his speed. After 3 hours he notices that his speed has now reached 80 mph.

For how many miles did he drive above the state speed limit of 70 mph?



ID 5278

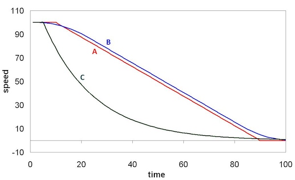
LeslieGreen K11Cletus is absolutely, definitely, the worst student the driving school has ever seen. When asked to drive at a steady speed he constantly accelerates too hard, overshoots the target speed, and then brakes too heavily. He has what the instructors call a "heavy foot".

By some miracle he manages to always hit the same top speed of 20 mph before braking in a continuing non-repeating pattern like the one shown.

What is his average speed?



ID 5311

LeslieGreen K7In order to test the Archimedes Principle, Sasha put a Lead weight inside a football and makes it air-tight with glue. The football now weighs 500g.
Sasha fills an outdoor water butt to the brim with water, but can't do the experiment that day because he has forgotten his gloves and the air temperature is 20°F.
After a few days the temperature has not risen, but he finds his gloves and does the experiment.

How much water is displaced by the football?

If you measure the temperature in Celsius, there is a formula:

The temperature T in degrees Celsius (°C) is equal to the temperature T in degrees Fahrenheit (°F) minus 32, times 5/9.



ID 5312

LeslieGreen K11Sasha is learning about Archimedes at school. His show-off sister is 3 years older than him and sets him a problem:

A water butt is filled to the brim with water and then tilted to a 30° angle relative to the horizontal. A football has a lead weight sealed inside, but not fixed in position. The combined weight of the ball and weight is 330g. The ball floats to a depth of 1.2 inches.

Knowing the rough size of a football, estimate how much water spills out of the butt when the ball is lowered into the water gently.



ID 5313

LeslieGreen K7The unit price of a thingamajig is $3.50.
If I buy 10, the unit price drops to $2.00.

At what quantity does it become more costly to buy them singly than to just buy 10?

(Thingamajig is something whose name you have forgotten or do not know.)



ID 5314

LeslieGreen K12The chocolate biscuit factory you are now in charge of has a problem. There are three 8 hour shifts and 11 shift supervisors who each have their own treasured setup of the machines to give an optimum biscuit pass rate. Every time the controls are adjusted the pass rate drops for several hours until the process settles down again. Each supervisor adjusts the controls to their “optimum” settings when their shift starts! Having analysed what they are doing, you have summarized the settings into 11 controls with two positions each. You need to devise a series of experiments to establish the optimum settings in a convincing manner to improve the productivity of your plant.

What is the minimum number of experiments necessary to find the optimum settings for each control?



ID 5326

LeslieGreen K7When it is 11am in Geneva (Switzerland) it is 5am in New York (USA). The flying time from Geneva to New York is 9 hours.

If the plane to New York takes off from Geneva at 9:35am, what time is it in New York when the plane lands?

(There are no stops or disruptions, just a normal flight.)



ID 5328

LeslieGreen K12The train driver knows there is a Granny on board so he wants to give her a comfortable journey and to make sure she doesn’t spill her tea. When he is braking, which curve should he follow?

(HINT: remember Newton’s Second Law, often expressed as Force = Mass x Acceleration)



ID 5329

LeslieGreen K12You may have heard the expression "The shortest distance between two points is a straight line."
I have drawn a straight line on the map, directly along one of the grid lines of the map. Is this the shortest path for a ship to travel? (Neglecting winds, tides and so on.)

(NOTE: this is for a ship, not a submarine!)



ID 5351

LeslieGreen K10Bethany throws a hard ball at John when they are in the park and it hurts. When they are weightless in the space station she somehow manages to throw the same ball at the same speed at John.

What is the result?



ID 5352

LeslieGreen K12 Electrical energy can be measured in Joules, but for household use it is typically measured in kilowatt-hours (kWh). If a 100 Watt bulb is switched on for 8 hours every day for a year, roughly how much energy is consumed?

J = 1000 x kW x S

where J = Joules, kW = kilowatts, and S = seconds



ID 5353

LeslieGreen K10 Scientists and engineers need to use quantities which can vary over at least 30 orders of magnitude. Using zeros such as 0.000000000023 is impractical. Scientific notation uses a number between 1 and just less than 10, multiplied by a power of 10.

What is the scientific form for 0.000123?



ID 5354

LeslieGreen K9 Scientists and engineers need to use quantities which can vary over at least 30 orders of magnitude. Using zeros such as 12300000000000 is impractical. Scientific notation uses a number between 1 and just less than 10, multiplied by a power of 10.

What is the scientific form for 567001?



ID 5355

LeslieGreen K11 Engineers need to use quantities which can vary over at least 30 orders of magnitude. Using zeros such as 12300000000000 is impractical. Engineering notation uses a number between 1 and just less than 1000 followed by a standard multiplier for thousands, millions, and so forth.

Express the frequency of 3 thousand million Hertz (Hz) in engineering notation.



ID 5356

LeslieGreen K12 Suppose the light bulb in your fridge uses 1 Watt when on and you pay 10 cents = $0.1 per kWh.

Estimate the cost due to a faulty door switch, which keeps the light on over a 10 year period even with the fridge door closed.

(1 kWh is 1000 Watts for 1 hour)



ID 5357

LeslieGreen K11 Peter changes his old fashioned single 100W incandescent light bulb to a super efficient 4 LED bulb system which gives the same light output, but only consumes 20W in total.

Estimate the electrical energy saving per year if the bulbs are switched on for 8 hours every day of the year.

(1 kWh is 1000 Watts for 1 hour)



ID 5358

LeslieGreen K12 Peter changes his old fashioned single 100W incandescent light bulb to a super efficient 4 LED bulb system which gives the same light output, but only consumes 20W in total.

Estimate the saving per year if the bulbs are switched on for 8 hours every day of the year and you pay $0.1 per kWh.

(1 kWh is 1000 Watts for 1 hour)



ID 5360

LeslieGreen K12A professional design standard requires that free standing equipment must not tip over if subjected to a force equivalent to one fifth of its weight applied at the worst possible point. The latest design has failed the test.

What can the design team do to fix the problem?



ID 5370

LeslieGreen K9Answer the traditional English-language nursery rhyme in the form of a riddle:

As I was going to St Ives
I met a man with seven wives
Each wife carried seven sacks
Each sack carried seven cats
Cats, sacks, man, and wives
How many were going to St Ives?"

"This is a variant of a traditional old rhyming puzzle, often interpreted as a trick question by assuming that the group was travelling away from St Ives.

Here we explicitly state that the narrator travels more rapidly than the cat-carrying crowd, and catches them up on their way to St Ives.



ID 5372

LeslieGreen K11My neighbor Timmy has developed a complicated set of rules for choosing girlfriends.

He likes: all girls with long hair; all girls who are not tall; tall girls who wear glasses; short-haired girls who don't wear glasses.

Can you simplify the rules without changing the requirements?



ID 5380

LeslieGreen K11In a large village community there are regularly women giving birth to triplets, but surprisingly never twins.
The average number of babies per mother is 1.9
The local nurse visits the next recent mother on her list.

Which is the most probable number of babies she will find?



ID 5404

LeslieGreen K12Einstein, the hyper-intelligent house cat, is busy walking from one corner of a rectangular room to the diagonally opposite corner in an apparently random manner. His rather stupid human slaves can’t work out what he is doing.

The light and dark carpet tiles on the floor look like part of a chess board, with exactly 10 tiles down the length and 6 tiles across the width. Einstein has decided to move from one corner of the room to the diagonally opposite corner, at each tile moving only down the length or across the width of the room.

How many different routes are there from one corner to the diagonally opposite corner?

[HINT: You could try an easier problem first.]



ID 5406

LeslieGreen K12Anton, the highest IQ house ant on the planet, is taking his regular nocturnal walk from one corner of the chess board (1,1) to the diagonally opposite corner (8,8), moving only right or up the board at each successive square. He remembers that on square (5,3) there is a 'black-hole', so any valid route must exclude this square.

From how many different paths can he choose?

[HINT: You could try an easier problem first.]



ID 5407

LeslieGreen K11Anton, the highest IQ house ant on the planet, is taking his regular nocturnal walk from one corner of the chess board (1,1) to the diagonally opposite corner (8,8), moving only right or up the board at each successive square. He remembers that on square (5,3) there is a tasty sticky residue, so any valid route must involve this square.

From how many different paths can he choose?

[HINT: You could try an easier problem first.]



ID 5410

LeslieGreen K12Martin, the mathematical mole, has dug an extensive network of underground tunnels which he has approximated, in his magnificent mole mind, as a 3D lattice of 30 x 30 x 30 intersections. The distance between intersections is approximately constant. He is currently at intersection (20, 20, 15) and wishes to get to his secret food cache at (25, 25, 20) by one of the many shortest routes available. There are stones blocking the intersections at (21, 22, 10), (22,19,18), (22, 22, 16), (24, 18, 18) and (26, 26, 18).

From how many equally short paths can he choose?

[HINT: You could try an easier problem first.]



ID 5411

LeslieGreen K9Marek, the pan-dimensional super being, has arbitrarily defined his current location as (0,0,0,0,0,0) in 6D hyperspace. He wishes to reach location (3, 0, 2, 0, 4, 3) by one of the many shortest paths available. Despite his immense power, he can only move one hyperstep at a time, each hyperstep consisting of a unit change in exactly one of the coordinate values. Any hyperstep is of equal ‘length’.

What is the smallest number of hypersteps required for him to reach his destination?



ID 5412

LeslieGreen K12Marek, the pan-dimensional super being, has arbitrarily defined his current location as (0,0,0,0,0,0) in 6D hyperspace. He wishes to reach location (3, 0, 2, 0, 4, 3) by one of the many shortest paths available. Despite his immense power, he can only move one hyperstep at a time, each hyperstep consisting of a unit change in exactly one of the coordinate values. Any hyperstep is of equal ‘length’.

From how many of the shortest paths can he choose?

[HINT: You could try an easier problem first.]



ID 5420

LeslieGreen K10A team of archaeologists is exploring an underground complex on a remote planet. On each level there is a regular grid of North-South corridors intersecting East-West corridors, with ladders at each junction going both up and down to the next levels. Effectively the complex appears to be a regular 3D lattice of tunnels.

The previous team has marked the tunnels and made a list of problematic junctions that need to be avoided.

The team is currently at junction (3, 2, 5) and needs to get to junction (12, 9, 8) by one of the many shortest available routes.

Which of the listed problematic junctions might be in their way?



ID 5424

LeslieGreen K12You are pitching your new idea to a panel of Venture Capitalists (VCs) to secure increased funding. Using your advanced mathematical skills, you have dumbed-down the probability of success to something even VCs can understand. You tell them that if they were to throw 10 normal dice and sum the dots on top, the probability of your success is the same as the sum being less than 50.

One of the VCs seems very antagonistic, but you must still give the best possible answer, quickly – and using only mental arithmetic.

His question is "Can you guarantee that the sum of dots would be less than 50?"



ID 5425

LeslieGreen K10Shakuntala Devi was undoubtedly the most brilliant arithmetic mental calculator of all time. In 1977 she mentally calculated the 23rd root of a 201 digit number in a mere 50 seconds. She toured the world showing how she could do calculations faster than they could be entered into and solved by the computers of the day.

The problem for you is much simpler: Evaluate (without using a calculator) the 6th root of the 25 digit number consisting of 1 followed by all zeros.



ID 5426

LeslieGreen K12Shakuntala Devi was undoubtedly the most brilliant arithmetic mental calculator of all time. In 1977 she mentally calculated the 23rd root of a 201 digit number in a mere 50 seconds. She toured the world showing how she could do calculations faster than they could be entered into and solved by the computers of the day.

The problem for you is much simpler: Evaluate (without using a calculator) the 20th root of the 11 digit number consisting of 1 followed by all zeros.



ID 5430

LeslieGreen K9Symmetry is a very big subject, involving much more than geometry alone. Spotting patterns, and breaks in patterns, is a valuable skill.

Without worrying about what the function is, or what the programming language is, can you spot the error in this code simply by spotting a break in the symmetry?

The error is on line . . .



ID 5431

LeslieGreen K12 The sinusoidal waveform shown has a peak amplitude of 20 and a period of 2. What is a rough estimate for the mean value of the waveform over the interval shown (from t=0 to t=5)? (There is no need to use Calculus).

HINT: Areas below the x-axis should be considered as negative when calculating the mean.



ID 5438

LeslieGreen K11The boss of a 10 person company is always the last to arrive, and gets the worst of the 10 car parking places as a result. Being the boss, he decides to allocate parking places to each of his 9 employees (all of whom use a car to get to work), obviously keeping the best parking place for himself.

The employees already hate the boss, who only got the job by marrying the owner. Further enraged by the new rule, they collectively decide to ignore it and just park randomly when they arrive. All places are good for the employees.

What is the chance that the boss gets to park in the best parking place?



ID 5441

LeslieGreen K11Jake, being bored on a rainy Sunday afternoon, throws a pair of dice 500 times and keeps a record of the results.

What is the ratio of probabilities between throwing one five and all the rest twos, compared to throwing all threes.



ID 5442

LeslieGreen K11An escaped criminal has stolen a spaceship, and has just instantaneously jumped 1 light year away. On each successive jump she will only be able to jump half the distance of the immediately preceding jump due to heat build-up. Jump engines always take 1 hour to recharge.

My ship can only jump 1/2 light year, but it has a better cooling system so the jump distances drop-off more slowly. My maximum jump distances follow the sequence: 1/2 light year, 1/3 light year, 1/4 light year, and so on.

I can find her with my subspace-tracker. If she is closer than my maximum jump distance I can get close enough to remotely disable her jump-drive and capture her. My jump engines are fully charged.

Can I catch her?



ID 5451

LeslieGreen K11Despite advice to the contrary from his friends and parents, Timmy has decided on a new strategy to select future girlfriends. He has two “must-see” programs on 5 days of each week. He requires that any future girlfriend must match-up with at least 90% of these programs. Given that there are 20 TV channels available in his area, what is the probability of a match?



ID 5452

LeslieGreen K10There are 4 playing cards face up in a line on a table. Each of the cards has a different value. The cards need to be sorted so that the smallest value is on the left. There is only one action you can perform, namely interchanging the position of two cards (swapping them). You cannot move a card to an empty space.

What is the minimal number of swaps achievable on the worst possible arrangement of cards?



ID 5453

LeslieGreen K7The playing cards shown need to be sorted into increasing order with the lowest card on the left. Each move consists of picking up a card and inserting it anywhere in the line, including at the beginning or at the end. The cards slide sideways to allow a card to fit in between if necessary.

Which is the fewest number of moves possible?



ID 5463

LeslieGreen K12Christmas is getting near, and a four person company wants to run a Secret Santa scheme. The idea is that all four names are put into a hat and drawn at random. You buy a present for the person whose name you pick. Sadly, for the last three years in a row, at least one person has picked themselves, ruining the draw.

Estimate the probability that the draw will fail this year because somebody picks themselves.



ID 5646

LeslieGreen K10John refused to learn how to cook, despite the best efforts of his parents and teachers.

Now he is at college, any meals he prepares can contain only some combination of boiled eggs, baked beans, and pizza.

How many different meals can he prepare?



ID 5660

LeslieGreen K11Jasmine has just been learning about the binary number system at school. On her way home she wondered how far she could count using just the four fingers on one hand, if a curled finger represented a binary 0 and an outstretched finger represented a binary 1.

To be clear, she was thinking about counting up from zero in whole numbers. How far could she get?



ID 5673

LeslieGreen K12The teacher walked into her classroom to find a scene of devastation. There was red paint on the walls, her lunch had been half eaten, and books were thrown around the room. There were only three children in the room: Alex, Betty, and Clive.
All three said that Betty ate the lunch. Betty said Alex painted the wall.
Clive said that Alex threw the books. Alex said that Clive painted the walls.

The Headmaster was called in to resolve the crisis. On his way to the scene he found Wesley hiding in the corridor. Whilst Wesley would not directly implicate anyone, he did admit (under duress) that each of the three had done one of the crimes, and that every statement they made had been untrue.

Given that Wesley is telling the truth, who threw the books?



ID 5676

LeslieGreen K11A pirate captain takes his pirate crew into the treasure cave shown. The Captain marks the sturdy plank in units of the depth of a pirate, meaning pirates can stand on the marked positions, but not any closer. All of the pirates, including the Captain, are the same weight, and the bag of Gold is one quarter the weight of a pirate.

The Captain, being bold and fearless, is going to walk on the unsecured plank over the edge of the steep cliff to position 8 and collect the Gold. He does not worry about falling to his death in the bottomless pit below.

How many pirates are needed to stand on the plank to support the Captain?



ID 5730

LeslieGreen K11Mark, who has been a digital design engineer for many years, is celebrating his 55th birthday. Since the use of 55 candles for a birthday cake seems excessive, he arranges 7 candles in a line and lights the appropriate candles to represent his age in binary, a lit candle representing a “1” state for that bit.

How many candles does he light?



ID 5731

LeslieGreen K12Jenny is a computer scientist and is shy about her age. On her birthday she encodes her age in binary in a row of 8 candles. Her boyfriend, who is sitting on the opposite side of the cake, is trying to work out her age from the pattern of lit candles.

Knowing that her boyfriend is fluent in binary, Jenny encodes the pattern correctly, but does not reveal if a lit candle represents a “1” or a “0” for that bit position. She also does not reveal if she has written the binary number either left to right increasing (standard notation) or the other way around.

Given that Jenny is 27 years old, which age cannot reasonably be read by the boyfriend?



ID 5766

LeslieGreen K10Jane would ordinarily like to drive at 60 mph on this particular stretch of road. However there is a large truck driving at 30 mph which is slowing her down. She knows that in 1 mile there will be a multi-lane road section (dual carriageway) where she can easily overtake, so she waits behind the truck. Gerry is impatient and overtakes both Jane and the truck to travel at 60 mph.

Roughly how much time does Gerry save in this situation?



ID 5778

LeslieGreen K7In the game of noughts and crosses (tic-tac-toe) the winner is the player who gets three of their symbols in a straight line, with each player placing their symbol alternately.

In this game, noughts has started and it is now the turn of crosses to make their move.

Which move by crosses carelessly forces a win for noughts?



ID 5805

LeslieGreen K12John accidentally drops his text book and it falls open at a random position somewhere near the middle of the book. He immediately counts the sum of the two visible page numbers.

What is the probability that the sum of the two visible page numbers is equal to the sum of three consecutive page numbers?



ID 5831

LeslieGreen K9The History of Art in the Dark Ages is an epically boring subject and too many students pass by simply answering the 100 multiple choice exam questions randomly. This year the marking scheme has been changed so that of the 4 possible answers, the correct answer scores one point, two wrong answers score 0, but the remaining stupid answer scores minus two points.

What is the expected score for a student who guesses randomly?



ID 5832

LeslieGreen K10The History of Art in the Dark Ages is an epically boring subject and too many students pass by simply answering the 100 multiple choice exam questions randomly. This year the marking scheme has been changed so that of the 4 possible answers, the correct answer scores one point, two wrong answers score 0, but the remaining stupid answer scores minus two points.

What is the optimum strategy for a student who is good at Mathematics, but not Art History?



ID 5910

LeslieGreen K10My dog Charlie rushes into my office and bumps with his nose into a book on the floor at the position shown by the blue arrow.

Describe what happens.



ID 5940

LeslieGreen K11The contrapositive of a logical statement is formed by negating both the test and the result and then changing their order. For example:
If [this is my house ] then [the door is black].
Becomes
If [the door is not black] then [this is not my house].

Which is a correct contrapositive of
If [this is a fish] then [it cannot live out of the water for very long].



ID 5941

LeslieGreen K6Johnny is a very poor communicator and a very fussy eater. If given a plate with any foodstuff that he doesn't like, he rejects the whole plate and sulks.
He rejects 'spam, pizza & chips'.
He accepts 'sausage, mash & spam'.
He accepts 'pie, spam, & beans'.
He accepts 'egg, chips, & spam'.
He rejects 'spam, beans, & pizza'.

Which food item is he actually rejecting?



ID 5942

LeslieGreen K10It is demonstrable by direct computer calculation that any even number greater than 5 can be formed as the sum of two odd prime numbers.

Find one of the two primes that sums to 36.



ID 5956

LeslieGreen K10Analyze the following statement as if it were true:

"HyperBrite cleans off 4x as much dirt as the nearest competitor."

What can you say with certainty?



ID 5967

LeslieGreen K10Since the year 2058, 11 year olds have been required to get high exam marks in one of four elective subjects in order to graduate; harder subjects can earn more points.
The maximum possible scores are
100 for Set Theory,
200 for Vector Calculus,
300 for Orbital Mechanics, and
500 for Quantum Cryptography.

Typically, students of Set Theory get 95 out of 100 questions correct in the exam, whereas the figures for the other subjects are 25 out of 50 for Vector Calculus, 11 out of 30 for Orbital Mechanics, and 21 out of 100 for Quantum Cryptography.

Which subject gives a typical student the highest score?



ID 5968

LeslieGreen K12 Box A contains 3 blue balls and 1 red ball, all of the same size, weight, and texture.
Box B contains 1 blue ball and 2 red balls, all indistinguishable from those in box A.

I draw one ball from box A at random, examine it carefully, and put it into box B. I shake box B to mix up the balls, then draw a ball from that box at random.

What is the probability that the ball is blue?



ID 5969

LeslieGreen K10Two identical airplanes (aeroplanes) set out on a vital mission. The lead plane is carrying a secret message which needs to be delivered by hand. Each plane has a full fuel tank and a 1000 mile range. The planes can transfer fuel in mid-air; this process loses no fuel and happens almost instantly.

How far can the lead plane get?
(Note that a plane with no fuel can still land safely.)



ID 5970

LeslieGreen K12Three identical airplanes (aeroplanes) set out on a vital mission. The lead plane is carrying a secret message which needs to be delivered by hand. Each plane has a full fuel tank and a 1200 mile range. The planes can transfer fuel in mid-air; this process loses no fuel and happens almost instantly.

How far can the lead plane get?
(Note that a plane with no fuel can still land safely.)



ID 5983

LeslieGreen K12The image shows two parabolas,

f(x)= x2 - 4 and g(x) = -x2 + 4.

Estimate the area enclosed between the two curves.



ID 5984

LeslieGreen K12What is the ratio of sides of a circumscribed regular hexagon to an inscribed regular hexagon sharing the same circle (as shown in the picture)?



ID 5988

LeslieGreen K10The mathematics department at a school has challenged the pupils to a sort of ‘tug of war’ contest. The staff pull in the direction marked M. The boy students pull in the direction marked B, and the girls of course are G. The ropes are connected together by a fairly large strong equilateral triangular plate. The ropes are attached to the plate on smooth posts so the ropes are free to swing around the pivot. The relative strengths of the pulls and the position of the plate are shown at a particular moment in time.

What happens next?



ID 5989

LeslieGreen K11Johnny had a lesson at school which explained that ropes and cables are strong under tension but useless under compression. Brick and masonry, on the other hand, are strong under compression but weak under tension. Johnny has made the model suspension bridge (shown in the picture) using string and wooden blocks as a school project.

Comment on the design.

(Hint: consider the force on the top blocks)



ID 6001

LeslieGreen K11When only one small uniform solid cylinder of ice floats (with its axis vertical) in a glass of cold fresh water then 8.3% of the length of the cylinder sticks out of the water, the rest being submerged.

Estimate the specific gravity of ice.

(Reminder: Specific gravity is the ratio of the density of something relative to the density of cold pure water.)

HINT: Archimedes.



ID 6003

LeslieGreen K11You have measured the diagonal of your rectangular lawn using a laser rangefinder onto a conveniently positioned garden gnome. You have also measured the angle of the diagonal.

What is the length of the lawn?



ID 6004

LeslieGreen K10Susan holds a pencil completely underwater at a 45° angle to the horizontal plane. Pencils have an average density less than that of water.

What happens when she carefully releases the pencil?



ID 6011

LeslieGreen K12A drop of paint falls onto a horizontal flat sheet of clean glass. We suppose that at a particular instant the drop forms a perfect sphere in the air. The paint has spread out into a uniform circular disc (disk) of a diameter that is twice as large as the initial sphere diameter.

What is the ratio of the disc thickness, t to the initial diameter of the drop?



ID 6012

LeslieGreen K10We are going to model the growth of a particular type of bacteria as follows: No growth below 3°C. Doubles in quantity every 20 minutes for temperatures between 10°C and 60°C. Dead at 80°C.

Compare the amount of dead bacteria in two similar portions of food, one of which is left to stand at room temperature for 2 hours, then quickly heated to 80°C, whilst the other portion is immediately heated to 80°C. The initial bacteria populations in the two portions are similar at the start of the day.



ID 6013

LeslieGreen K11The teacher likes to reward students for being smart. This year the top three students each get to pick 10 cacao beans from a large bag. Each student is blindfolded and wears a glove to do the selection. Beans are removed one at a time, inspected, then replaced, with the bag contents being thoroughly mixed before the next pick.

The bag contains hundreds of fresh beans, and an equal number of already dried beans. The student who gets the most dried beans wins a big prize.

How does the best student optimise his chance of winning the prize?



ID 6014

LeslieGreen K12This incident occurred in deep space. A space ship had been blasting its rockets at full power for several hours, such that the on-board accelerometers recorded an acceleration of 1g, the Earth normal gravitational acceleration of around 10m/s2. The Doppler Space Radar showed another space ship on a direct collision course so the Captain immediately cut off the engines. At this instant the other ship was 1000km away and a collision would happen in 1 hour if nothing was done.

What can you say with certainty about the speed of the other space ship?



ID 6015

LeslieGreen K11Terry the termite is taking a walk across the gap between two roses using a conveniently available cotton thread. Terry is quite good at mathematics, but not nearly as smart as his uncle Huygens. Uncle Huygens explained that the thread forms a shape known as a catenary, a curve which looks a bit like a parabola, but is more complicated than that.

Terry is smart, but not that smart, so he approximates the curve as a 30° arc of a circle of radius 100mm.

What is Terry’s estimate of the (arc) length of this cotton bridge?



ID 6016

LeslieGreen K11You are in a blue car on the side of the road. There is a lot of fast moving traffic going your way and you need to judge when to pull out into the traffic flow. If you want to wait for a really big gap in the traffic you could be stuck there for hours, so you need to pick a safe gap, but not an ideal huge gap.

The traffic is going at an estimated speed of 56 mph (25 m/s). You are confident that you can get your car to accelerate from stationary to 25 m/s in 10 seconds (with constant acceleration).

Measuring the gap between the rear of your car and the front of the car behind, what is the minimum gap that would not cause an accident (we assume that the other driver does not brake)?



ID 6017

LeslieGreen K10Febe, the highly intelligent house fly, is bored buzzing around the kitchen so she hitches a lift when her Hoomins take a trip in their car. Being highly intelligent she can read the speedometer and convert the mph reading into m/s. She quickly becomes bored in the car and decides to fly directly from one side of the car to the other when the car is traveling in a straight line at 4 m/s.

Being a mathematics prodigy, she realises that her speed relative to the ground is 5 m/s.

How fast is she flying across the car?



ID 6018

LeslieGreen K11A 1 ton car is heading due North at 60 mph. A 2 ton truck is heading due East at 30mph. There is sheet ice all over the intersection and the truck cannot stop. The truck smashes into the side of the car and the pair forms one tangled mess of bent metal. (Fortunately the drivers were wearing seatbelts and the air bags did their job. Nobody was injured.)

In which direction does the mangled mess travel?

(Hint: conserve momentum not energy).



ID 6019

LeslieGreen K12A 1 ton car is heading due North at 60 mph. A 2 ton truck is heading due East at 30mph. There is sheet ice all over the intersection and the truck cannot stop. The truck smashes into the side of the car and the pair forms one tangled mess of bent metal. (Fortunately the drivers were wearing seatbelts and the air bags did their job. Nobody was injured.)

At what speed does the mangled mess initially travel?

(Hint: conserve momentum not energy).



ID 6020

LeslieGreen K10For no clearly explained reason I am standing on a set of bathroom scales in a lift within a tall building. When the lift is stationary I weigh 41kg. When the lift moves I see my weight increase to 60.5kg.

Describe the motion of the lift:



ID 6021

LeslieGreen K9There is a right angled triangle with a hypotenuse of unit length. Denote an angle (other than the right angle) as alpha.

Given that the side adjacent to the angle is of length cos(alpha) and the side opposite the angle is sin(alpha), evaluate the sum.



ID 6042

LeslieGreen K10 An American salesman flies over to London (UK) and for reasons best known to himself carelessly steps out of a first floor window. He breaks his leg.

Why?



ID 6051

LeslieGreen K10 A elderly monk is arranging the annual charitable gift. He will put bank notes in two envelopes such that one envelope has twice the amount in the other. The number of notes will be undetectable within the heavy envelope. It is required that anyone who opens an envelope does not know if they have the high amount or the low amount.

Given that the bank notes available to the monk only occur in units of $1, $2, $5, and $10, which statement is acceptable?

Inspired by a comment from Jeff Jordan concerning Two Envelope Paradox



ID 6074

LeslieGreen K12 Jane sees the following text written on the blackboard in the classroom, evidently left over from a previous lesson.

X = X + 1

Which statement is true?



ID 6133

LeslieGreen K12 In a singles tennis tournament of 64 players, the winner of each game goes forward to the next round. Two sisters are both excellent tennis players.

Given that each sister wins all their matches until they meet each other, what is the probability that they meet each other at the final?



ID 6182

LeslieGreen K12 My black credit card has a 16-digit number. Credit cards have the digits 0-9 with equal probability in each digit position.

What is the probability that the sum of the first fifteen digits is equal to the sum of the last fifteen digits?



ID 6201

LeslieGreen K11In a fictitious far away country income tax is not charged on the first $10,000 of annual income. After that, tax is charged at a 20% rate on the amount beyond the $10,000 allowance. If income exceeds the allowance by more than $30,000, however, earnings beyond that amount are taxed at 40%.

Arthur earns $20,000 per year. Barry earns $50,000 per year. How much more income tax (as a ratio) does Barry pay?



ID 6212

LeslieGreen K6Jane wants to use her soapbox racer at the park where there is a sharp-edged ramp. Last time she tried it the bottom of the racer struck the corner of the ramp, making a horrible sound; this was extremely uncool. (Notice that the base of the racer always lines up with the axis of the wheels in these designs.)

What should Jane do to restore her cool reputation?



ID 6213

LeslieGreen K11In factories where food items are packaged, one clever technique for optimally filling bags is to fill 12 nominally equal hoppers with the food, then computer select the 4 which give the closest fit to the required weight. This is better than taking food items such as crisps and putting tiny broken pieces in to make up the required weight. It is also cheaper for the manufacturer to not greatly exceed the minimum weight, and effectively get paid less for each gram of food as a result.

How many combinations does the computer have to check to get the optimal selection?



ID 6215

LeslieGreen K12John got back to his car too late and now he is locked into an outdoor car park for the night. There is an escape path, but it involves driving down a fairly steep grassy slope. He has correctly drawn a diagram of the problem, but can’t quite finish it off. The axle of the wheels is roughly in line with the underside of the car. Hitting the underside of the car on the corner of the slope will mean a tow truck will be needed and there may be costly damage done as well.

The faint line above the ground is the path that the car axle travels as it rolls along the ground. This is called the locus of the axle.

What is the correct equation for the limiting case where the car base just touches the corner?



ID 6216

LeslieGreen K5Mary has a cat, and a rat, and a hat, and a mat.

If the cat is on the mat, and rat is in the hat, but the hat is on the mat, where is the rat?



ID 6217

LeslieGreen K11Roughly speaking, the sun rises in the east and sets in the west.

Why?



ID 6218

LeslieGreen K12There are 100 unique numbered components in a bin. You select 5 components at random. You then sort the components into numerical order.

How may different selections can you make (you restore the components to the bin after each selection)?

(You are specifically invited to use your calculator to solve this problem.)



ID 6219

LeslieGreen K12The numbers

128
CXXIIX
10000000
80


all have the same value.

Why is CXXIIX the odd one out?



ID 6222

LeslieGreen K12A motorboat is in the middle of a fast flowing river heading directly for some rocks that also happen to be in the middle of the river. Its engine failed 5 minutes ago so the boat is just being pulled along by the flow. Seeing the rocks in plenty of time the skipper pushes the rudder hard over to the left. The river channel is safe either side of the rocks.

What happens next?



ID 6223

LeslieGreen K11Three ropes join at a ring which is free to move relative to the ground. The forces and directions are shown at one instant.
The sketch is not necessarily drawn to scale.

What happens next?



ID 6224

LeslieGreen K12It is a serious mistake to think that computers can solve any numerical problem almost instantaneously. Whilst addition and subtraction are very fast, multiplication can take twice as long as that, and division can take ten times as long as addition.

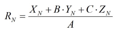
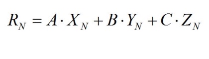
In this example the values subscripted by N are to be calculated hundreds of thousands of times. The unsubscripted values are constants.

Rearrange the equation to minimise the computational time. We are after the form of the equation; the values of the constants vary as necessary to make the result correct.



ID 6225

LeslieGreen K11A hospital runs a queuing system for non-urgent surgical procedures. This queue always has 100 patients in it and one patient is operated on each day (7 days a week). If a patient is not available on the day of surgery they lose their place to a brand new patient who would otherwise have gone elsewhere. (This is easier than rescheduling 100 appointments.)

Roughly 5% of patients are not available or do not show up for their procedures.

What is the average waiting time reported to the managers of the hospital?

(If a patient does not receive surgery their waiting times are not included in any statistics.)



ID 6229

LeslieGreen K11 This is part of a real UK tax statement from 2015-2016 showing how the government spends Income Tax and National Insurance contributions.

Which statement is true?



ID 6231

LeslieGreen K11There is a real-life balance beam which is horizontal when unloaded. First we lock the beam in the horizontal position with a brake. Then we hang a 1 ton bag of feathers at a distance of 6 feet to the left of the pivot. Next we hang a 2 ton bag of scrap iron 3 feet to the right of the pivot. Charlie the cat is sitting about 6 feet to the right of the pivot.

What happens when we release the brake?



ID 6244

LeslieGreen K12When representing negative whole numbers in binary for computers it is convenient to use the two’s complement form.

For example we could represent +3 as 0000 0011 in binary.

To get -3 in the two’s complement form we first invert the bits (change a ‘1’ to a ‘0’, and vice versa) and then we add 1.

Which is the correct two’s complement binary representation of -3?



ID 6247

LeslieGreen K8Rather than write the specifications on the side of the packet, manufacturers now use symbols to avoid having to print the specifications in 7 or more different languages.

Sometimes these symbols can be difficult to understand immediately.

Can you decode what this (actual) label tells you about the environmental rating?



ID 6255

LeslieGreen K11

We put something into the blue box and something new comes out.

Can you decode the mystery of this 300+ year old mathematics?



ID 6256

LeslieGreen K12

We put something into the blue box and something new comes out.

Now we are asking what do we need to put in to get something?

Can you decode the mystery of this 300+ year old mathematics?



ID 6263

LeslieGreen K12The picture shows problem complexity growth curves for computing problems. If N is the number of elements in the problem, then the growth can be proportional to
N2,   N.log(N),   N,   exp(N),   N!   and so on.

Which type of growth is the worst (fastest)?



ID 6264

LeslieGreen K11

If you defined the sine and cosine functions to Pythagoras, 2500 years ago, he would easily have solved this problem.

Surely you won’t have any trouble with it?
(No cheating by using a calculator or trig tables.)



ID 6267

LeslieGreen K11If it takes 5 men 5 days to dig 5 trenches in each of 5 countries, how long will it take 10 men to dig 10 trenches in one country?

(We assume of course that the men have similar capacities to dig trenches, the countries make no difference to trench digging, and everything is just simple.)



ID 6271

LeslieGreen K10Calendar dates are written in different ways according to countries and preferences. For example 21 February 2018 could be written 21/02/2018, 02/21/2018, 21 Feb 2018, and so on.

You want to label filenames on a computer so that the date code is easily and automatically sorted into date order by the operating system (regardless of the date the file was actually written).

What is the correct format?

Y is a year number; M is a month number; D is a day number.

Notice that we have to put leading zeros in the each section when necessary, so we have to write 02 for the month and not just 2, otherwise the date-ordered listing is incorrect.



ID 6273

LeslieGreen K12The FastMoney bank decides to only allow passwords with a length of exactly 8 characters. Each position in the password can contain a lower case letter, an upper case letter, a digit, or a special character. For simplicity we will take the sum as 70 possible characters per position.

The bank then randomly asks for the character in 4 unique positions within the password. For example on one day it might ask for characters in positions 3, 6, 2, and 5.

Assuming that you have chosen to not repeat any character within your password, how many unique key sequences are possible for you to correctly logon to your existing account.



ID 6274

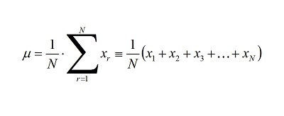
LeslieGreen K12Your boss has asked you to produce a report of average sales figures over the last few years.

What rule should you use to calculate the average value?



ID 6275

LeslieGreen K11John is on a fixed income. His monthly budget is spent as follows:

Food 10%
Rent 50%
Entertainment 10%
Savings - anything left over.

Suddenly the cost of food rises by 10%. The rent is increased by 5%.

By how much does his monthly savings decrease?



ID 6282

LeslieGreen K10Mathematicians love using symbols to avoid writing. If you don’t understand what the symbols mean, the resulting expressions are completely meaningless.

Can you crack the code? Can you guess what the upside-down U is supposed to mean?



ID 6283

LeslieGreen K10

Words can be tricky. The same word can have different meanings dependant on where it is used in a sentence, and can have different meanings even within the same sentence.

Am I being mean when I ask what the mean of the means means?



ID 6284

LeslieGreen K9A small unmanned rocket program is having budget difficulties so the project director wants at least a 1% cut in the parts cost. The parts are roughly broken down as follows:

$9M Rocket Engines
$900k Avionics
$90k super-structure
$10k miscellaneous items

Which change best meets the project director’s requirements?



ID 6285

LeslieGreen K12John, now aged 18, goes out to work for the first time. Since he is working, and an adult, he can eat whatever he wants. He likes sugary drinks, chocolate, and crisps. He also gets less exercise than he used to at school. As a result of this lifestyle, his food calorie intake averages out at 100 calories more than he needs every day. The human body typically stores excess calories as fat.

Given that a rough estimate of calories per pound of human body fat is 3500, estimate John’s weight increase by the time he is 28, all other factors being equal.



ID 6303

LeslieGreen K10Pretend the round red blobs are tennis balls. Pretend the blue lines are stretchy strings.

Can you move the tennis balls from the pattern on the left to make the pattern on the right?

NOTE: the strings are special so that whatever you do they never get tangled up with each other.



ID 6304

LeslieGreen K11Pretend the round red blobs are tennis balls. Pretend the blue lines are stretchy strings.

Can you move the tennis balls from the pattern on the left to make the pattern on the right?

NOTE: the strings are special so that whatever you do they never get tangled up with each other.



ID 6305

LeslieGreen K12Pretend the round red blobs are tennis balls. Pretend the blue lines are stretchy strings.

Can you move the tennis balls from the pattern on the left to make the pattern on the right?

NOTE: the strings are special so that whatever you do they never get tangled up with each other.



ID 6306

LeslieGreen K12Pretend the round red blobs are tennis balls. Pretend the blue lines are stretchy strings.

Can you move the tennis balls from the pattern on the left to make the pattern on the right?

NOTE: the strings are special so that whatever you do they never get tangled up with each other.



ID 6307

LeslieGreen K8Pretend the round red blobs are tennis balls. Pretend the blue lines are stretchy strings.

Can you move the tennis balls from the pattern on the left to make the pattern on the right?

NOTE: the strings are special so that whatever you do they never get tangled up with each other.



ID 6308

LeslieGreen K9Pretend the round red blobs are tennis balls. Pretend the blue lines are stretchy strings.

Can you move the tennis balls from the pattern on the left to make the pattern on the right?

NOTE: the strings are special so that whatever you do they never get tangled up with each other.



ID 6309

LeslieGreen K10Pretend the round red blobs are tennis balls. Pretend the blue lines are stretchy strings.

Can you move the tennis balls from the pattern on the left to make the pattern on the right?

NOTE: the strings are special so that whatever you do they never get tangled up with each other.



ID 6310

LeslieGreen K9Pretend the round red blobs are tennis balls. Pretend the blue lines are stretchy strings.

Can you move the tennis balls from the pattern on the left to make the pattern on the right?

NOTE: the strings are special so that whatever you do they never get tangled up with each other.



ID 6316

LeslieGreen K10

In ancient texts, when writing materials were expensive, it was usual to write without punctuation and without spaces between the words.

In this well known English language proverb, how much space has been saved, assuming that every character and space takes the same amount of room (a fixed-pitch font)?



ID 6320

LeslieGreen K12For reasons best known to himself, John decides to get off the train before it comes to a complete stop. He jumps with both feet together in order to land well, although the height of the step is only a foot (30cm) off the ground. He makes sure to land facing in the direction of motion of the train. The train is moving at about 5 mph.

What is the most likely outcome?



ID 6321

LeslieGreen K11

Can you guess why luxury cars are always long?

(Hint: consider bumps in the road)



ID 6322

LeslieGreen K12Analyse the proverb.

What could you correctly deduce?



ID 6323

LeslieGreen K11It is often said that "You cannot fit a square peg in a round hole". Obviously that is not true. Anyone with any mathematical background would use a square peg whose diagonal was equal to the diameter of the round hole.

But we have a different question. If you bevel (cut) each corner of the square peg at a 45° angle, what is the largest cross-sectional area of peg that will fit in a circular hole of radius R?



ID 6324

LeslieGreen K11A radian is a very strange unit of angular measure. Protractors are calibrated in degrees, not radians. You will never find radians mentioned in everyday life.

But computer library functions for sin(), cos() and tan() functions all use radians not degrees, so if you need to use them then you need to convert from degrees to radians. There is no need to remember the conversion factor; just work it out from first principles when you need it.

If you draw an arc with a compass, and the arc length is equal to the radius, then the angle of the arc is 1 radian.

Given that definition you should be able to calculate how many degrees make 1 radian.



ID 6325

LeslieGreen K12There is a long distance hot-air balloon race. The winner will be the team that gets the furthest from the starting point. Each team consists of one or more team members. Each team member has a standardised weight by carrying ballast to make up to 150kg of load per person.

Gas for the burner is provided with one standard bottle per person. The spherical hot air balloons use the same materials, but the balloons have a constant volume of hot air per person.

There are four teams: which one has the best chance, everything else being equal.



ID 6336

LeslieGreen K8

Critically analyze the statement given:



ID 6337

LeslieGreen K11Did you realize that trigonometry is actually used in computer programs? The right half of the image shows a graph with node (vertex) numbers. These labels need to be rotated around the nodes in order to avoid clashing with the blue links (branches). The left half of the image shows the problem of moving the center of a text label box around a fixed point.

Assuming a standard (Cartesian) x-y co-ordinate system, and given that the node is at (Px, Py), what is the position for the top left corner of the label box?



ID 6339

LeslieGreen K5

If you try to look at these graphs as 3D shapes you will get very confused.

I have erased one of the blue lines from one of the images. But which line?



ID 6340

LeslieGreen K6

Although it doesn't look like it, the distances along any of the blue strings are equal because it is a 3-dimensional object.

What is the shortest distance between blobs 03 and 09?

You can only travel along a blue string.



ID 6341

LeslieGreen K11This looks like a rather improbable equation.

What is the value of X?



ID 6342

LeslieGreen K10

Which is the correct equation relating H and A to S?



ID 6343

LeslieGreen K11Being a bored billionaire, Martin decides to have a swimming pool built in the shape of an inverted regular tetrahedron. Of course he wasn’t sure what a tetrahedron was, so the architect explained that it is a triangular based pyramid with all four sides equal, although in this case there is no actual base because that is the surface of the water.

Martin is bored by the fact that the pool has taken two hours to get to a depth of one third the overall height. Filling at the same rate (in gallons per minute) he decides that it will take another 4 hours to fill completely. Everyone avoids his gaze when he makes this statement out loud.

How much longer will it really take?



ID 6344

LeslieGreen K9

What is a perpendicular bisector?



ID 6345

LeslieGreen K12You wish to establish how close to vertical a wall is. You have a spirit level and you can see that the bubble is not perfectly centred around its calibration marks when placed flat on the wall. Rotating the spirit level 180° about the vertical axis shows that the spirit level itself is essentially perfectly calibrated. In order to get the bubble centred you need to move the bottom of the spirit level about 1mm away from the wall. The spirit level is 30 cm long.

What is the angular deviation of the wall from vertical?

Note: you do not have a calculator or trig tables to hand.



ID 6346

LeslieGreen K12

Which of these graphs is the sine function?

(HINT: Look at the inset picture which shows how the sine function relates to a right-angled triangle.)



ID 6347

LeslieGreen K12Sine waves are fascinating things. The slope of a sine wave is another sine wave, just shifted in time (phase). You can also add two sinusoidal waves, each of which has a different amplitude and a different zero crossing point (phase) and still end up with a sine wave. Furthermore, the addition of these sine waves obeys the rules of vectors (but using phase instead of direction) so you can draw a triangle and calculate the resulting amplitude and phase from that.

In the picture we are adding a 100V sine wave to a 10V sine wave which is phase shifted by 90° relative to the larger voltage.

What is the amplitude of the resultant sine wave?



ID 6348

LeslieGreen K11Susan is walking down the road in a northerly direction at 3 mph. There is a crosswind of 4 mph.

What is her resultant speed?



ID 6349

LeslieGreen K10Jane is a secret agent in hostile territory. She can swim at 1m/s in still water with the secret load she is currently carrying. She has to cross a river speedily, without exhausting herself, so she swims at her normal pace. Sadly the river is flowing at 3 m/s and is 30m wide at the point she needs to cross.

How long does it take her to cross the river?



ID 6350

LeslieGreen K12John is in the wilderness and encounters a fast flowing river. There is only one spot to cross as the bank is very steep, except at this one point. Directly across from this point is another break in the bank, with no other breaks visible. He therefore has to swim directly across the river.

With his back-pack he can swim at 1 m/s in still water. The river is flowing at 0.8m/s. It is 12 m across the river.

How long does it take him to cross the river, swimming with his normal amount of effort?



ID 6351

LeslieGreen K12A modern sailing vessel, powered only by the wind, is at the center of the image (plan view).

In which direction(s) can it travel?



ID 6352

LeslieGreen K12Much of the brilliance of aircraft design comes in optimising the ratio Lift/Drag for a range of flight speeds and conditions. In level flight the weight of the aircraft is equal to the Lift, but the retarding force, the Drag, is smaller by a factor of 10 or more. This means that the engine can produce 10x less thrust than would be needed to lift the aircraft straight up. Another key specification for a design is the Thrust/Weight ratio, a pretty self-evident measure.

Analyse and digest this technical information before picking an answer.



ID 6354

LeslieGreen K12Peter has understood from his school work that an airplane's speed is relative to the wind, and not directly to the ground, so that if the wind is going in the same direction as the airplane, the airplane goes that much faster relative to the ground.

He therefore decides that it is a good idea to take off with the wind going in the same direction as his new model airplane is going to take off.

Comment on this plan.



ID 6355

LeslieGreen K10Perhaps you have seen birds flying, without flapping their wings, and yet they still go up.

Pick a plausible explanation for this observation.



Image source of the short-toed snake eagle is Wikipedia



ID 6360

LeslieGreen K8

Is it possible for a 60kg person to push a 2000kg car on a level surface?



ID 6361

LeslieGreen K11The heavy yellow weight is hung from the rigid red post. The blue plate is firmly attached to the ground with stakes (shown as thin vertical lines).

What can you say with certainty?



ID 6362

LeslieGreen K12The heavy yellow weight is hung from the rigid red post. The blue plate is firmly attached to the ground with stakes (shown as thin vertical lines).
The joint at A is able to rotate freely.

What can you say with certainty about part B.



ID 6363

LeslieGreen K11The Ancient Olympic Games were held every four years.
They already existed at the time of Homer in 776 BC.
A Roman emperor banned the games in 393 AD.

If a Game was held in year 2 BC, which year of Common Era was the next Game?

The term anno Domini is Medieval Latin and often translated as in the year of our Lord. BC is before Christ. It should be noted that at the time of Homer they were not using the current Gregorian calendar. Historians have effectively relabelled the old dates to make them easier for us to understand. The Gregorian calendar is widely used, but it can be offensive to non-Christians to use the BC/AD terminology. Hence they are being replaced by BCE and CE, the CE meaning Common Era. Since this change only started happening around 2002, the older system is widely used and you should know both.



ID 6364

LeslieGreen K12

Hopefully you realise that wood comes from trees. In fact the bulk of a tree is wood, along with a relatively small amount of leaves.

Where does all this wood come from?

(Pick the best answer, as some of the answers may be partially true.)



ID 6365

LeslieGreen K8An explorer finds a metal triangle on a planet.
His Artificial-Intelligence camera reports that two of the internal angles in the triangle are 37° and 95°.

What can you say about this triangle?



ID 6367

LeslieGreen K6

What is the sum of ten tenths, one hundred hundredths, and one thousand thousandths?



ID 6368

LeslieGreen K11A logic question:

John has 1/2 of an apple.
Jane has 1/3 of an orange.

Between them they have ...



ID 6369

LeslieGreen K12In a typical carnival game, the player tries to throw a rubber ring over a wooden peg.
We won't consider any "tricks of the trade" which reduce the player's chance of winning. Consider the ring falling straight down onto the pegs at random.

Call the peg diameter P, with the inner diameter of the ring as 2P. The pegs are on a square grid of 5P side length and large extent (lots of pegs).
The outer diameter of the ring is small and doesn't affect the outcome.
Success is defined as those cases where the ring falls directly over the peg without hitting it first.

What is the probability of random success?



ID 6370

LeslieGreen K11Jane is sitting on a bench in a museum when she sees a round coin drop from a woman's purse onto the tiled floor. She tries to guess the probability that the coin will not land on the boundary between tiles. She neglects the thickness of the boundary between the tiles and estimates that the coin diameter is one fifth the side length of the tiles. She guesses that there is a 20% chance of the coin landing on the border.

What is the correct probability of the coin not landing on a tile boundary?



ID 6372

LeslieGreen K8 A particular carnival game involves throwing a soft ball at stacks of bottles, with each knocked over bottle contributing to a prize. The stallholder demonstrates how easy it is, and yet you just can’t seem to do it, despite hitting the bottles in the same place that the stallholder did.

Can you guess why this might be?



ID 6373

LeslieGreen K12Alan, aged 10, has a devious plan to "prove" that he is good at mathematics. He plans to go on to the site ApusClick.com and take on questions for 17 year olds in front of a single adult witness. He will randomly click on answers to two questions only. If he gets both correct he gets his witness to tell everyone what happened, "proving" his brilliance. If he gets any question wrong, he immediately stops, discards that adult, and picks a new witness.

Alan is especially lazy, and can't even be bothered to remember what the correct answer is when he has answered a question previously.

What is the probability of Alan proving his brilliance if he has a pool of 20 adults to use?

(Please use a calculator if you need to.)



ID 6374

LeslieGreen K6In computing, a hash is a fixed length output value computed from an arbitrary length input. As an example, it is unsafe to store plain-text passwords anywhere, so it is usual for a computer to hash the password and store that. Any slight change to the input has a large and unpredictable change on the output.

The SHA-256 hashing function produces a 256 bit result from any input. Given that a hexadecimal (hex) character has values between 0 and 15 (0 to F in hex), how may hex characters are needed to print an SHA-256 hash?



ID 6390

LeslieGreen K12Carlo Iznop has an interesting business model for his investment firm. Each client deposits exactly $1000. He gives them 10% return on their investment after 1 year. This profit must be withdrawn. In the first year he had 30 clients. 2 out of 3 withdrew their money at the end of the year. At that time, word spread about this fantastic investment opportunity giving double the normal rate of return, so the total number of investors increased. Over the years his fame spread and the business boomed.

In the fourth year suspicions were raised about the consistently high profits and the police were called.

What is the most probable outcome?



ID 6391

LeslieGreen K12Suppose you want to photograph the cat when it passes through an invisible beam, but you also want to know where it came from. You automatically record the digital camera images to a memory buffer, one after the other, always overwriting the oldest image. The buffer has a certain length, and when you get to the end, you start again at the beginning. Each position in the buffer has a positive index, starting from 0. You write to the current position, then increase the position counter by one. When you increase beyond the end of the buffer you reset the counter to zero.

The position counter is called POS. The buffer length is called BLENGTH.

What is the correct value for the position counter if you want to go back 20 images from the last image?



ID 6392

LeslieGreen K12A thin-rimmed hollow sphere (a black ball) and a homogeneous solid sphere (a white ball) both have the same weight and the same diameter.
They are both dropped simultaneously from a height of 3 feet (around 90cm) onto a glass table below. Both balls have the same material and the same finish on their outer surfaces.

Which has the most kinetic energy at the moment of impact?



ID 6393

LeslieGreen K11Three spheres with equal diameters and equal masses are allowed to freely roll down a smooth inclined ramp.
The green sphere is homogeneous.
The blue sphere is hollow with a heavy rim.
The thin-walled orange sphere is hollow, with a smooth inner surface and filled with a dense, but remarkably inviscid liquid. (inviscid means having a very low viscosity - it's "runny")

When released at the same time, in which order do they arrive at the bottom of the ramp?



ID 6394

LeslieGreen K12An eccentric retired professor of Mathematics has created a walled-off area in his garden in the shape of an isosceles triangle. He tethers a goat to the apex of the triangle with a rope of the correct length so that the goat can graze over exactly half of the garden.

Neglecting practical considerations like the size of the goat compared to the garden, how long is the rope?

(This question comes in two variants: you can either approximate the answer or you can work out the complete answer - an only slightly more involved process.)



ID 6395

LeslieGreen K12Jane is studying the subject of fluid mechanics from text books. In the first book she reads she estimates that there were 1000 key facts presented. In the next book she reads this also presents 1000 facts, but half of these are duplicates of what she has already read, but more worryingly, 0.1% contradict previous facts.

If every future book she reads has 1000 facts, but new facts halve in number with each successive book, and contradictions occur randomly at a fixed 0.1% rate, what is her projected accumulation of true facts after she has studied an infinite number of such books?



ID 6396

LeslieGreen K11The horizontal Field of View (the size of the scene which fits into the picture) of a particular digital camera is 3m at a distance of 3m.

What is the angular Field of View?

(Hint: Draw a little sketch.)



ID 6404

LeslieGreen K12A woman tries to hide her age from an inquisitive boy by telling him that her age is between 31 and 61 inclusive, but that the boy can only have 4 guesses at her age. The guess will be answered truthfully with higher, lower, or correct.

In the worst (unlucky) case, but with intelligent guesses, how far from the correct age will the boy be?



ID 6414

LeslieGreen K12

For a small angle d (in radians), the sine of the angle is approximately equal to the angle.

Often the cosine of a small angle is approximated as 1.

Which is the best approximation for the cosine of this small angle?

(Hint: Pythagoras)



ID 6440

LeslieGreen K12Many houses in Switzerland use domestic air-sourced heat pumps for central heating.

A heat pump is a marvellous device. You can put 1kW (kilo-watt) of electrical power in and get 3kW of heat out. Engineers dislike calling this 300% efficient, so they use the term Coefficient of Performance (COP) instead. COP=3 means 3kW out for 1kW in.

Different manufacturers produce units with different performances, so under the same conditions one unit can have a COP of 3 and another can have a COP of 4.

Given the same conditions, how much more electricity will the COP=3 system require than the COP=4 system?



ID 6444

LeslieGreen K12 Why would anyone design something as apparently stupid as a penny-farthing bicycle?

And why would people buy it?



ID 6445

LeslieGreen K11

The beam is balanced by the spheres, all of which have the same diameter.
All of the red spheres have the same density as each other.
All of the blue spheres have the same density as each other.

What can you say with certainty?



ID 6447

LeslieGreen K11

A boy throws a very bouncy rubber ball directly down onto a hard concrete floor from a height of 1.5 m.

To what height does the ball bounce?



ID 6448

LeslieGreen K8Jane, the undercover operative, is in a strange far-away city at night. The sky is overcast and moonless so she can’t get a bearing from it. She has no phone or compass to assist her. She knows that the city streets are drawn on a neat rectangular grid, so in order to keep a note of her direction she adds 1 for a left turn, 2 for a 180° turn, and 3 for a right turn, all relative to the direction she is travelling in before each turn.

She starts off looking directly at the clock in the city square. The rest of the city seems featureless to her foreign eyes.

After an hour of following her suspect, with him deliberately making unnecessary turns to throw off anyone following, she has reached a count of 401.

If facing the clock was looking north, in which direction is she now facing?



ID 6449

LeslieGreen K10

Simplify the expression shown, if you dare!

All letters inside the bracket represent integer variables.



ID 6450

LeslieGreen K10All the balls hanging from the balance have the same weight. The dotted suspension lines represent stretchy string, whereas the solid lines are inelastic cord.
The grey balls are possible positions for balls of equal weight to the red balls.

Which single position for a grey ball balances the beam?



ID 6451

LeslieGreen K11The blue ball weighs somewhere between 1 and 31 times the weight of a red ball, the ratio being an integer. Enough red balls are placed on the right hand side of the balance to make the beam level. The minimum number of red balls is used to balance any particular weight. There is no restriction on the number of balls in any particular position on the balance.

What is the maximum number of red balls required to balance any blue ball weight within the given range?



ID 6454

LeslieGreen K11The blue square is the plan view of an open-topped box with slippery walls. The washer, which is not shown to scale, is thrown into the box at random, and the washer always lands flat on the bottom. The length of the inside edges of the box is 12 inches. The washer’s outer diameter is 1 inch and its inner diameter is 7/16 of an inch.

What is the probability that the washer lands entirely within the bottom left-hand square (red)?



ID 6458

LeslieGreen K11You have found the picture to the right on a random website on the internet. The author claims that it shows an inverted (upside down) red plastic funnel with nothing hidden inside. The author further claims that the top ring seems to almost float in the position shown, as if supported by springs.

What could you reasonably conclude?



ID 6459

LeslieGreen K12 You try to work out the problem shown on the right by entering the values into a cheap hand-held calculator.

What answer do you get?



ID 6461

LeslieGreen K12 Two ordinary cars with gasoline (petrol) engines are being compared. At their maximum power outputs, one produces twice the power as the other when measured at the road wheels.

What can you say with certainty?



ID 6462

LeslieGreen K10 A recruitment agency gets paid for each contractor they place, and they pass on 80% of the fee to the contractor.

But looking at it the other way around, starting from the contractor's fee, how much has the agency marked up the contractor's salary?



ID 6471

LeslieGreen K11

Jane, a specialist in many different bird species, is trying to weigh a parrot. First she weighs a large glass bottle, then she weighs the same glass bottle with a parrot inside. The glass bottle is air-tight, so Jane makes sure that the parrot is never in the bottle for more than 3 minutes so it doesn't suffocate.

At first the bird stands on the bottom of the bottle so Jane takes a reading. Then the parrot hovers beautifully in the middle of the bottle for long enough that the weighing scale reaches a steady value. She records the result and releases the parrot.

Compare the two readings.



ID 6472

LeslieGreen K10I put three dice into a cup, shake them up, and roll them out onto a table. A camera looks at the table from above, and computer software correctly finds and displays the die which is closest to the center (centre) of mass of the collection of dice.

What is the probability that the value displayed is 1, 2, or 5?



ID 6473

LeslieGreen K12I have put 3 ordinary 6 sided dice in a cup, and I am shaking them. Before I cast them out onto a table I want you to decide, using the mystical powers of your mind.

If you win you get to pick a prize from the prize table. Otherwise you will get nothing.



ID 6474

LeslieGreen K8In order to disguise their ages, four women will only admit that the sum of the (integer) ages of Anna, Belinda, and Christina is 105. They will also admit that the sum of the (integer) ages of Daisy, Belinda, and Christina is 89.

What can you say with certainty?



ID 6475

LeslieGreen K10Herlewin the Lesser is trying to work out why his workers are costing him so much. He is paying 170 groats/hour for his workforce, consisting of one of each of a plasterer, an electrician, a carpenter, a builder, and an architect.

He knows that electricians earn twice as much as carpenters, that builders and plasterers earn the same, and that the carpenter and builder together earn as much as the architect. He also knows that the builder earns 30 groats/hour.

How much does the carpenter earn?



ID 6479

LeslieGreen K9

Mary is half as old as the younger of her two brothers. In 10 years time she will be as old as her younger brother is now.

How old will the younger brother be in 10 years time?



ID 6480

LeslieGreen K11There is a simple repeating sequence of numbers:

1, 2, 7, 11, 12, 17, 21, 22, 27, 31, 32, 37, …

This pattern continues up to 1000.

How many numbers are there in the sequence?



ID 6504

LeslieGreen K10John has been driving for several hours in busy traffic and realises that most of the cars he has seen are different, neglecting color (colour).

What is the most reasonable explanation for this?



ID 6505

LeslieGreen K9John (left) weighs himself, eats 100g of cooked rice, drinks 1 kg of water, then weighs himself again.

Peter (right) weighs himself, eats 100g of super-high-calorie energy bar, drinks 1 kg of water, then weighs himself again.

All of this activity takes place within the space of a few minutes, and no significant activity has not been mentioned.

Who gains the most weight?



ID 6506

LeslieGreen K12You may have heard people use the expression "give it 110% effort" or similar.

What can you say about this?



ID 6507

LeslieGreen K12Jane has always been a bit of an oddball. Rather than buying stocks and selling them later, she likes to sell stocks she doesn't have, hoping to buy them back later.

How does she make a profit?



ID 6513

LeslieGreen K10Jason, whilst out for a drive in his front-wheel-drive car, comes across a slightly larger car stuck in mud. Jason's tow rope is long enough that Jason's car can stay on firm ground.

What is the optimum place for the rather heavy-set (large) passenger of the stuck car.



ID 6514

LeslieGreen K12You have been offered a game of chance by an eccentric multi-billionaire.

He will toss a coin repeatedly until it comes up heads. If heads appears on the first throw he will pay you $2. If it appears on the second throw, you receive $4; if on the third, you receive $8 and so on, doubling each time.
You know that this is the famous St. Petersburg paradox, with an expectation value of infinity, so his requirement for you to pay him $63 to play the game seems fair. And yet you hesitate …

What is the chance of you winning at this game?



ID 6531

LeslieGreen K11This year Samantha has become very fussy about her birthday present. A square box must be wrapped in blue paper. A round box must be wrapped in red paper. An irregular box must be wrapped in green paper.

The probability of her getting a round box is 50%. The probability of her getting a green box is 1/4.

What is the probability that this spoilt child receives a blue present?



ID 6536

LeslieGreen K11A fairly fit runner is in a race with other equally fit runners. The race distance is 1 mile. Unlike marathon runners, these runners do not take on fluids during the run.

At the end of the run, what should we expect of our chosen athlete?



ID 6537

LeslieGreen K10In a strange and far-off land, supermarkets typically sell date-limited food at a discount at a particular time of day. Successful hunter-gatherers can then benefit from a product which was at its full price until only a few minutes beforehand.

The image depicts the price in units of pounds, a decimal currency such that 29p = £0.29.

What discount has been applied?



ID 6603

LeslieGreen K12

In a popular type of train, a Diesel engine drives an electric generator, which in turns powers the electric motors that drive the wheels.

Given that every step in this chain loses power, why is such an apparently complicated system used?

Hint: If you drive or have been frequently driven in a 'stick-shift' (manual gearbox) car you will have a distinct advantage in answering this question.



ID 6604

LeslieGreen K12The safety label on this charger for power tool battery packs says 'Rest charger 15 minutes between charges'.

Why is there such a requirement?



ID 6605

LeslieGreen K10In a scene from a film, the baddy is sharing the ill gotten gains with his (comically stupid) henchman by dividing the gold pieces into two 'equal' piles.
'That’s one for you, and that’s one for me'.
'That’s two for you (puts an additional one on the henchman’s pile), and two for me (puts an additional two on his own pile)'.
'That’s three for you (adds one to the henchman’s pile), and three for me (puts three more on his own pile)'.

The final round is 'fifty for you, and fifty for me'.

How many fewer pieces of gold does the henchman get?

Leslie Green suggested the problem for Aplusclick project. This theme has been repeated at least once. An early version was with Bugs Bunny, 'Racketeer Rabbit' (1946).



ID 6606

LeslieGreen K11In a scene from a film, the baddy is sharing the ill gotten gains with his (comically stupid) henchman by dividing the gold pieces into two 'equal' piles.
'That’s one for you, and that’s one for me'.
'That’s two for you (puts an additional one on the henchman’s pile), and two for me (puts an additional two on his own pile)'.
'That’s three for you (adds one to the henchman’s pile), and three for me (puts three more on his own pile)'.

The final round is 'N for you, and N for me'.

How many times more pieces of gold does the baddy get?

Leslie Green suggested the problem for Aplusclick project. This theme has been repeated at least once. An early version was with Bugs Bunny, 'Racketeer Rabbit' (1946).



ID 6609

LeslieGreen K11Brian (aged 12), having been watching a Sci-Fi movie, is wondering what would stop a small airplane flying to the moon if we could somehow get it up into orbit.

Which of these do you think is the biggest problem?

A) There are no petrol stations on the way to the moon
B) Sound does not travel though space
C) The cabin is not air tight so the pilot couldn’t breathe.
D) The engine needs air to burn the fuel.
E) The engine needs air to cool down.
F) The wings need air to generate lift and control direction.
G) The propeller needs air to drive the plane forwards.



ID 6622

LeslieGreen K12

Two hundred and thirty two boys and two hundred and twenty nine girls came out of school at different speeds.
After a while, 38 adults rushed out of the same building even faster than the kids.

The question: 'How many students and teachers went home after school?' has already been asked of 10 year olds, to which the correct answer was 499.

Now we ask a deeper question.

How many reasonable assumptions had to be made to get the correct answer?



ID 6653

LeslieGreen K12Pretend the round red blobs are tennis balls. Pretend the blue lines are stretchy strings.

Can you move the tennis balls from the pattern on the left to make the pattern on the right?

NOTE: the strings are special so that whatever you do they never get tangled up with each other.



ID 6654

LeslieGreen K9

A convex polygon is a simple polygon (not self-intersecting) in which no line segment between two points on the boundary ever goes outside the polygon.

Which of these shapes is not a convex polygon?



ID 6705

LeslieGreen K9Mary has devised a rope and pulley hoist system to lift her 2 tonne (2000kg) boat out of the water. She has to pull the rope with a force equivalent to a 10kg weight to lift the boat.

How far does she have to pull the rope to lift the boat 1m out of the water?

For simplicity we assume that the rope and pulley system is lossless.



ID 6706

LeslieGreen K11A horse trough has a rectangular cross-section and is continuously being filled from a tap. Water is leaking from a hole in the bottom of the trough, the leak-rate being proportional to the square root of the water height in the trough.

The tap is adjusted so that the water rises to just under the top of the trough as a steady-state condition.

The tap is now adjusted to halve the flow rate.

What is the new steady-state height of water in the trough?



ID 6707

LeslieGreen K12A horse trough has a rectangular cross-section and is continuously being filled from a tap. The trough has two similar holes in it: one at the bottom, and one half way up. The leak-rate from a hole is proportional to the square root of the water height.

The tap is adjusted so that the water rises to one fifth the height of the trough as a steady-state condition.

The tap is now adjusted to double the flow rate. What is the new steady-state height of water in the trough?



ID 6715

LeslieGreen K8

John finds a box of similar looking books in a box in the attic. The books are labelled with large letters: V, X, II, I, IX, and VI.

How many books can he be confident are missing from this collection?



ID 6716

LeslieGreen K10

Here is a number sequence with a definite mathematical rule to move from one number to the next.

3,   7,   16,   43,   124

The tricky thing is that one number (not necessarily at the end) has been deleted from the sequence, but which number?

(Hint: This is just mathematics. It works in any language, not just English.)



ID 6717

LeslieGreen K9

Here is a number sequence with a definite mathematical rule to move from one number to the next.

2,   5,   23,   47,   95

The tricky thing is that one number (not necessarily at the end) has been deleted from the sequence, but which number?

(Hint: This is just mathematics. It works in any language, not just English.)



ID 6718

LeslieGreen K12

Here is a number sequence with a definite mathematical rule to move from one number to the next.

3,   7,   11,   17,   27,   43

The tricky thing is that one number (not necessarily at the end) has been deleted from the sequence, but which number?

(Hint: This is just mathematics. It works in any language, not just English.)



ID 6719

LeslieGreen K11Sammy the Squirrel hides acorns in groups of 3, 4, or 5 per stash, the actual number being pretty random. He creates 200 such stashes in the autumn. When winter comes he only manages to find 5% of his stashes.

On average, how many acorns does he find from his stashes?



ID 6720

LeslieGreen K12Joe, the ice-cream van man, has observed in his 20 years on the job, that almost all children like ice-cream. In order to prove this he asks 999 of his child customers if they like ice-cream.
All but two say they like ice-cream.

What is the biggest problem with his assertion that around 99.9% of children like ice-cream?



ID 6721

LeslieGreen K11

Here is a number sequence with a definite mathematical rule to move from one digit to the next.

8,   1,   7,   0,   3,   6, . . .

The tricky thing is that one digit (not necessarily at the end) has been deleted from the sequence, but which digit?

(Hint: This is just mathematics. It works in any language, not just English.)



ID 6724

LeslieGreen K5Spotting patterns is very important.

Can you spot which number doesn't fit the pattern?

3,   6,   12,   26,   48,   96,   . . .



ID 6725

LeslieGreen K9Spotting patterns is very important.

Can you spot which number doesn't fit the pattern?

1,   2,   5,   14,   42,   122,   . . .



ID 6726

LeslieGreen K7Spotting patterns is very important.

Can you spot which number doesn't fit the pattern?

231,   248,   266,   282,   316,   333,   350,   367, . . .



ID 6727

LeslieGreen K11This sequence of numbers repeats so they could be written in a circle (after deleting the 1 and 6 at the end, since they just show the repeat point).
There is a definite mathematical rule to go from one number to the next.

1,   6,   4,   3,   0,   5,   3,   1,   6, . . .

Sadly one (and only one) of the numbers has been mis-typed, but which one?



ID 6728

LeslieGreen K10You are required to follow my instructions very carefully:
After every mathematical operation you are to calculate the total.

Think of a number.
Add 3.
Multiply by 3.
Add 6.
Multiply by 2.
Subtract 30.
Divide by 6.

What is the result?



ID 6730

LeslieGreen K11An elite special forces soldier weighing 100 kg (with full kit) is being winched up to a steadily hovering helicopter at a constant speed of 5 m/s.

What is the steady-state load on the winch cable?

NOTE: take the gravitational constant as 10 N/kg or 10 m/s2



ID 6731

LeslieGreen K12An elite special forces soldier weighing 100 kg (with full kit) is being winched up to a steadily hovering helicopter at a constant acceleration of 10 m/s2.

What is the steady-state load on the winch cable?

NOTE: take the gravitational constant as 10 N/kg or 10 m/s2



ID 6732

LeslieGreen K12A village lies in a mountain valley, with valley walls so high that the sun is blocked out for 6 months of the year. People can get very depressed when they live without sunshine for months on end.

At a council meeting it has been suggested that a mirror is installed on the valley wall to reflect sunlight onto the village below.

What would be the most useful response to the suggestion?



ID 6733

LeslieGreen K10Ugg, the primitive human, finds a perfectly circular fountain with a diameter of 1.8m. Of course Ugg doesn't know what a fountain is, or what a diameter is, but he decides to measure the circumference of the fountain, despite not knowing what a circumference actually is. Ugg can only measure using his walking stick and a piece of chalk. The walking stick is remarkably straight, and by sheer chance it just happens to be exactly 1m long.

Ugg is not as clever as you, so he would not think of pressing the stick against the curve and moving the pressure point down the length of the stick to follow the curve exactly.

What is Ugg's count of the number of sticks needed to surround the strange looking historic artefact he has found?

Unusually, and just for this question, you are encouraged to open another browser tab and search for any information on the Internet which will help you to solve this problem.



ID 6734

LeslieGreen K9

List the following storage technologies in order of their data retention capabilities, the longest storage being listed first:

USB flash drives
paper/books
stone tablets
magnetic tape



ID 6735

LeslieGreen K8

In a remote African village it is traditional for the women to set off early in the morning to walk through the desert to fetch water. This is a long and arduous journey. There are three water containers available in adequate quantities, but each woman can only carry one of them.

The measure of water is unique to this tribe and we will just call it a unit.
A large container carries 4 units of water, but its design is so poor that on the trip back, half will be lost by leakage and splashing.
A medium container carries 3 units of water, and has a better design, so only one third is lost on the return journey.
The small container is only slightly smaller than the medium container, carrying 2 and 2/3rds units of water. However, it only leaks one quarter of its original content.

We are told that the container itself weighs half as much as the maximum content it can carry.

Which container should the tribal elders instruct the women to take?



ID 6737

LeslieGreen K11

A shop is offering a luxury food item at half price. It is not close to its "sell by" date.

How is this economically viable?



ID 6738

LeslieGreen K11Two tiny motor boats set out from the shore of a lake, each with a full fuel tank and 4 full fuel cans. Each fuel can stores the same amount of fuel as held in the onboard tank. The two boats are tied together until it is time to separate them. The boats use fuel at a steady rate, regardless of the amount of fuel on board. One tank of fuel lasts for 30 minutes.

Each boat can only hold 4 full fuel cans, and a fuel can, once opened, has to be completely emptied into the fuel tank of the boat it is on. Fuel in the onboard tanks cannot be shared.

If fuel cans are optimally transferred, what is the maximum time one boat can continue on its journey?



ID 6765

LeslieGreen K11Three tiny motor boats set out from the shore of a lake, each with a full fuel tank and 3 full fuel cans. Each fuel can stores the same amount of fuel as held in the onboard tank. The three boats are tied together until it is time for one or more to separate. The boats use fuel at a steady rate, regardless of the amount of fuel on board. One tank of fuel lasts for 1 hour.

Each boat can only hold 3 full fuel cans, and a fuel can, once opened, has to be completely emptied into the fuel tank of the boat it is on. Fuel in the onboard tanks cannot be shared.

If fuel cans are optimally transferred, what is the maximum time one boat can continue on its journey?



ID 6766

LeslieGreen K8You are on a critical mission. You reach the shore of a lake where 60 similar tiny motor boats are moored. None of the boats have any fuel on board. There are 52 full cans of fuel available, with each can being the same capacity as the on-board fuel tanks of the boats.
There are plenty of volunteers on hand to help you.

The boats use fuel at a steady rate, regardless of the amount of fuel on board. One tank of fuel lasts for 1 hour. Each boat can only hold 3 spare fuel cans, and a fuel can, once opened, has to be completely emptied into the fuel tank of the boat it is on. Fuel in the onboard tanks cannot be shared.

You need to get away as far as possible from this place by boat. How many boats should start the journey?



ID 6767

LeslieGreen K11You are on a critical mission. You reach the shore of a lake where 55 similar tiny motor boats are moored. None of the boats have any fuel on board. There are 52 full cans of fuel available, with each can being the same capacity as the on-board fuel tanks of the boats.
There are plenty of volunteers on hand to help you.

The boats use fuel at a steady rate, regardless of the amount of fuel on board. One tank of fuel lasts for 1 hour. Each boat can only hold 3 spare fuel cans, and a fuel can, once opened, has to be completely emptied into the fuel tank of the boat it is on. Fuel in the onboard tanks cannot be shared.

You need to get away as far as possible from this place by boat.

What is the maximum number of hours you can travel by boat?



ID 6768

LeslieGreen K10

The sine of an angle, A, is identically equal to the cosine of some other angle.

What is the other angle?



ID 6771

LeslieGreen K12

I have 8 books with weights of 1001g, 1003g, 1005g, 1007g, 1011g, 1013g, 1017g, and 1019g, where the weights are all accurate to better than ±0.1g.
I have a set of balance scales which will balance provided the imbalance is less than ±0.5g.

I weigh four books at a time, two on each side of the balance.

How many unique sets of 4 books will balance?

(Swapping books from the left pan to the right pan does not constitute another set.)



ID 6773

LeslieGreen K12You have been told to suspend the blue object from one of the red mounting points. You have done some calculations and determined that one mounting point is only just inadequate to support that much load. The rope is easily strong enough, with plenty of margin, it is just the mounting point that is problematic.

You boss really really wants the blue object suspended, NOW. He is a very important person and tells you to use two mounts as it will halve the load. The angle of the mounting ropes to the horizontal is 25°.

What is your response? (And remember, if anything goes wrong you were the engineer, and your boss is just a marketing expert.)

Just in case it is relevant: sin(25°) = 0.422; cos(25°)=0.906; tan(25°)=0.466



ID 6774

LeslieGreen K12Desmond the Dragon has been naughty. He has been burning cottages with his fiery breath and eating sheep between meals.

The villagers have decided this must stop, so they have tied him up with a tungsten cable which can hold twice Desmond's weight.

Is this an adequate precaution?



ID 6776

LeslieGreen K10Today there is a tug of war between a human, an orangutan, and a gorilla. You may be unfamiliar with the units being used. We call the force necessary to support a 1kg weight one kilogram-force, with the notation 1kgf. Whilst this is not one of the preferred SI units, it is easy to understand from everyday experience.

The human pulls in the compass direction of 000° with a strength of 100kgf. The orangutan thinks it is very funny and pulls with a force of 120kgf in the compass direction of 240°. The gorilla really can't be bothered, so only pulls with a force of 150kgf in the compass direction of 120°.

In which compass direction does the junction of the ropes move?



ID 6778

LeslieGreen K7

I would like to weigh myself, but neither of the two bathroom scales available to me can take my somewhat chunky weight. Also, both are broken in the sense that they have zero offsets, and the zero offset button does not work. I have checked the scales with a 20kg weight, and both read correctly when their offset is taken into account.

The left scale reads +1.1kg when unloaded. The right scale reads -0.6kg when unloaded.
I stand on both scales at the same time, one leg on each, although my weight distribution is not necessarily equal.
The left scale reads 48.1kg and the right scale reads 37.3kg.

What is my actual weight?



ID 6779

LeslieGreen K10Shawna wishes to measure the height of a tree for no clearly explained reason. She has determined that the distance from the ground to her eye level is 1.7m when she is wearing her usual fashionable boots. She uses a 45° set-square to sight-along and she uses a spirit level to make sure the ground is level and the base of the set-square is also level.
She walks back from the tree until the top of the tree aligns with the set square, then she measures the distance from where she is standing to the centre of the tree trunk. The distance she measures is 11.2m.

What is her estimate of the height of the tree?



ID 6780

LeslieGreen K9Having just won the lottery, Jeff has gone from tossing burgers for a living to being a multi-millionaire. Sadly his wealth has increased faster than his EQ (Emotional Quotient) can handle. He demands that the bath in his new mansion be ripped out and replaced by one twice as big. When the tradesmen try to make suggestions he just shuts them up angrily, and tells them to do exactly what he asked for, no more and no less, without adding in any complexity.

Jeff gets in the bath whilst filling it, but as it gets nearly full it breaks through the ceiling and plummets onto the marble floor below.

What went wrong?



ID 6781

LeslieGreen K11Lenny throws a baseball to Kenny who is 20m away. The ball arrives in 500ms (0.5s).
Neglecting wind resistance and taking g = 10m/s2, to what height above the starting point does the ball reach, given that it is thrown from and received at the same height?

Although you may use different symbols, these formulae may provide some reminders:
s =ut + (1/2)at2 ; v2 - u2 = 2as ; v = u + at



ID 6782

LeslieGreen K12Lenny throws a baseball to Kenny who is 20m away. The ball arrives in 500ms (0.5s).
Neglecting wind resistance and taking g = 10m/s2, how fast is the ball thrown, given that it is thrown from and received at the same height?

Although you may use different symbols, these formulae may provide some reminders:
s =ut + (1/2)at2 ; v2 - u2 = 2as ; v = u + at



ID 6783

LeslieGreen K10The boss insists that the new car design must accelerate equally quickly from 20mph to 30mph as it does from 50mph to 60mph.

What is your response?



ID 6784

LeslieGreen K12 The year is 2045. Most new cars now have electric drive trains. One particular new innovation is the DriverTron with its Insanity Mode. In this mode the car automatically applies a constant maximum power to the wheels at all speeds until it reaches 100mph or until the brakes are applied. Needless to say this mode has been banned in all jurisdictions apart from two States in the USA!

If we neglect wind resistance and bearing loss, what equation represents the velocity v of the car in Insanity Mode at speeds less than 100mph?

t is the time from starting at zero speed, and k is a constant.



ID 6785

LeslieGreen K12Rechargeable battery technology is familiar to most people with phones and other portable devices. But larger batteries to power cars and homes are less well understood.

A rechargeable battery can be modelled as an ideal rechargeable battery in series with a parasitic resistance. This resistance dissipates power dependent on the square of the charging current. Now given that electric cars typically have a range of only 200 miles, it is quite tiresome to stop every 150 miles and recharge it for 300 minutes (5 hours). It would be much nicer to charge it in 30 minutes, or even 3 minutes, to make it more like a gasoline (petrol) powered car. But is there a downside to this?

We are going to assume for simplicity that a rechargeable battery is charged by a certain number of ampere-hours. If you double the current (measured in amperes) you halve the charging time.

Consider what happens to the energy loss in the parasitic resistance in the battery if instead of charging in 300 minutes you use a hyper-charger and do it in 3 minutes (for the same battery type).



ID 6787

LeslieGreen K4

Which equality is incorrect for ordinary numbers?



ID 6788

LeslieGreen K8

A particular function takes a value X, multiplies it by 4, adds 16 to the result, then takes the square root of the result.

Can you simplify this function?



ID 6789

LeslieGreen K7

A particular function takes a value X, adds 16 to it, then takes the square root of the result.

Can you simplify this function?



ID 6790

LeslieGreen K5

A linear transform takes a value and converts it into another value using a rule such as 'add 3 then multiply the result by 3'

Which of these is the same transform?



ID 6791

LeslieGreen K9

In mathematical language, a function can be considered as a rule to transform something into something else. The inverse function will then change it back again.

If the function gives one over the input, what is the inverse function?



ID 6792

LeslieGreen K8

In mathematical language, a function can be considered as a rule to transform something into something else. The inverse function will then change it back again.

If the function gives the square of the input, what is the inverse function?



ID 6793

LeslieGreen K10A wristwatch has had a chaotic price history, which consists of adding $10, a $10 reduction, doubling in cost, and being at a 50% discount.
If these operations were applied in one order the final price would give a maximum, and in another order would give a minimum.

What is the difference between these two costs?



ID 6810

LeslieGreen K8

It was announced on the UK news that birds were flying backwards in a certain location at a certain time.

Suggest the most plausible explanation for this report.



ID 6811

LeslieGreen K9

You see a person apparently swimming vigorously in the sea near to a jetty. The strange thing is that he is swimming backwards, by which I mean his head should be getting closer to the jetty, but it is actually getting further away.

What should you reasonably conclude?



ID 6816

LeslieGreen K8A table with four legs is resting on an uneven floor. Even if the floor were level, the table would still have been wobbly as the legs are not exactly equal.

You have available a set of wedges to place under the legs to make the table secure.

What is the minimum number of wedges required to secure the table in the worst case of mismatched legs and floor?



ID 6818

LeslieGreen K11A table with four legs is resting on an uneven floor. Even if the floor were level, the table would still have been wobbly as the legs are not exactly equal.
You have available a set of wedges to place under the legs to make the table secure. The table top is perfectly planar.

What is the minimum number of wedges required to make the table top secure and perfectly horizontal in the worst case of mismatched legs and floor?



ID 6819

LeslieGreen K12A Physics teacher is on a camping trip with his young nephew. Seizing the opportunity to impart some Physics to this youth, the teacher sketches out a graph of how well-stirred water in an open pan might respond to being placed in the middle of a well-established large fire, built using locally sourced wood.

Which graph did he draw?

(Note: you must be able to justify your answer to get full credit on this question.)



ID 6820

LeslieGreen K12Suppose you were travelling directly from the Earth to the Moon. You can imagine that as you got further from the Earth, the pull of Earth's gravity would be reducing, whilst the pull from the Moon's gravity would be increasing. At some point these two forces would be equal and opposite.

At what fraction of the distance from the Earth to the Moon would this equilibrium point be?

For the purpose of this question, assume that only the Earth and the Moon exist, and that they are stationary. Take the mass of the Moon to be 1/100th the mass of the Earth. And we will remind you that the gravitational force on a small object is proportional to the mass of the astronomical body, and inversely proportional to the square of the distance to that body.



ID 6833

LeslieGreen K116 numbers are required to have an average of 9999. The first five numbers are: 9999, 9998, 9997, 9996, and 9995.

What must the last number be to meet the requirement?

Hint:Look for a sneaky method, rather than doing long-addition or algebra.



ID 6834

LeslieGreen K12Compare the security of a 4 digit passcode using two different entry methods:
In the first method all 4 digits are entered and an ENTER button is pressed.
In the second method each digit is ENTER'ed in turn, and the next digit can only be entered once the previous digit has been validated.

Consider only the unlucky (worst) case for each method.
What is the ratio of the number of ENTER key presses of the first method compared to the second method?



ID 6841

LeslieGreen K12Whilst the Earth gets all of its heat from the Sun, roughly how much of the Sun's heat does the Earth get?

Don't over-complicate the question. Just think about how much of the Sun's radiated power is intercepted by the Earth.

Sun's diameter = 1.4 million km
Earth's diameter = 13,000 km
Distance to the Sun = 150 million km



ID 6842

LeslieGreen K12A spaceship is going to fly from the Earth to Mars. The project has been sabotaged by politicians so that the flight starts when the planets are in the worst possible orientation for the flight.

What is the distance the spaceship has to travel?

Assume circular orbits with a common center (centre) about the Sun. Assume both orbits are in the same plane. Don't worry about matching orbital velocities.
Radius of the orbit of Mars = 230 million km.
Radius of the orbit of Earth = 150 million km.



ID 6843

LeslieGreen K10A physicist with broken legs is stuck in the middle of a frozen lake. For no clearly stated reason she is sitting on a smooth based sled, with a box full of base balls. We consider that the ice is perfectly flat and has low friction. Her only means of propulsion is to throw baseballs.

What is her optimum strategy to reach the edge of the lake?



ID 6844

LeslieGreen K11A particular electronic dictionary file of the English language contains 80,000 words, 1035 of which are three letter words.

If a three letter word is chosen from random letters, estimate the chance that it will be a valid English word?



ID 6848

LeslieGreen K11

I have an unbiased coin, a fair six-sided die, and an ordinary pack of 52 playing cards. I toss the coin, roll the die, and pick a card at random.

What is the chance that I don't get a head, roll a number less than 5, and don't get a heart?



ID 6849

LeslieGreen K8

99 spheres with the same diameter (2cm), weight, and surface texture are put into a black bag. These spheres are coloured red, green, blue, white, pink, fushia, magenta, indigo, cyan, azure, gray, jade, plum, ruby, salmon, and viridian in some undefined way. A single silver sphere is added to the bag. It is double the diameter of the rest, but has the same texture.

You are blindfolded and allowed to pick one (and only one) sphere from the bag. If you pick a vaguely red sphere you get $10. If you pick the special silver sphere you get $1000. If you pick anything else you get nothing.

What is the probability of your getting more than $10?



ID 6850

LeslieGreen K11Water is not getting from the PUMPING STATION to the FEED point. A section in the pipeline is blocked, and you are required to find the exact section which is blocked. You know that the pumping station is fine because you spoke to them on the phone.

You have been given an accurate sketched map of the pipeline showing 8 taps. If you open the tap and water comes out you know the pipe is unblocked up to that point. Using an optimum strategy, what is the minimum number of taps you have to open to establish which exact section of the pipe is blocked, assuming you are unlucky in your choices.



ID 6860

LeslieGreen K10Examine the following statements:

1) For a given stored volume, a sphere has less surface area than a cube.
2) For a given width limit, a sphere and a cube have the same ratio of volume to surface area.
3) A cube of a given width will have a lower volume to surface area ratio than a cuboid of the same dimensions (except its length is twice its width).



ID 6984

LeslieGreen K9Grandpa drives a dilapidated old banger which only gets 10mpg (miles per gallon). The City Slicker drives the very latest Eco car which achieves an impressive 100 mpg. The City Slicker is always bragging about how his car choice is so good for the environment.

Grandpa does a 1 mile round trip 5 times a week to visit his pals at the retirement home. The City Slicker drives 50 miles to work each day, again 5 times a week.

Compare the fuel usage of these two life-styles.



ID 7037

LeslieGreen K12You wish to pour juice into a glass from a container with a rectangular cross-section (as shown).

We can define the orientation of the container by saying that one of the 4 marked edges is uppermost.

Which edge should be uppermost to give the best control when pouring from a fairly full container?



ID 7038

LeslieGreen K11

The picture shows a fairly standard domestic refrigerator door.

We wish to consider the position of the tall glass bottle, neglecting any other items in the fridge.

The glass bottle is currently in the middle of the door. If we move it to the left it is closer to the door hinge. If we move it to the right it is closer to the open area.

Which is the best position for the tall glass bottle?
Hint: consider Newton.



ID 7047

LeslieGreen K10

The super-villain of a science-fiction movie shrinks the moon to one hundredth of its original diameter.

If we willingly suspend our disbelief for a moment, and we of course assume that the Law of Conservation of Mass applies, what is the resulting average density of the shrunken moon?



ID 7048

LeslieGreen K7We perform a multiplication

9 x 10 x 10 x 10 x 10 x ... x 10 = ?

The triple dots ( ... ), known as an ellipsis, means there are some tens missing from the equation.

Suppose there are a total of 100 tens in the equation.

How many noughts are there in the result?



ID 7049

LeslieGreen K5

I have been told that I am six short of half a dozen eggs.

How many eggs do I have?



ID 7060

LeslieGreen K11Consider the planar figure shown to the right. All angles are 90°. There are 4 dimensions shown, with X being clearly shown by the red line segment.

What is the effect of X on the perimeter of the shape?



ID 7066

LeslieGreen K12

The image shows a wooden door with a brush-type draft excluder ready to be cut to fit on the bottom of the door. The door hinge is on the left in this picture.

The instructions that come with the part just say to cut it to size, but where should we cut it?



ID 7067

LeslieGreen K12Drawing A shows a massive black beam easily supporting the load of two heavy red beams by means of the blue tension rods and the green nuts. The blue rods are very strong, while the nuts are the weakest elements of the design. It is not your design, but you have been given computer simulations of this design and it all looks fine, ... in theory.

The contractor hired to build the design hates it. The green nuts have to be spun all the way up the blue threaded tie rods, which is very time consuming and therefore expensive. Also both red bars have to be assembled at the same time and that is difficult. The contractor has come up with design B which uses shorter tie rods of the same design but uses the same nuts. They have calculations to show that the upper red beams will not be damaged by offsetting the lower tie bars slightly.

Will you approve the change?



ID 7068

LeslieGreen K10

A large sofa manufacturer seems to be forever having sales. There is the Spring sale, Summer sale, Autumn sale, Winter sale, Xmas sale, New Year's sale, and so on. During these periods they sell particular lines for half price.

According to local legislation (Laws) these items have to have been offered at the higher price for a certain time and must revert to the higher price after the sale.

Assuming they stick to the legal requirements, are you getting an excellent bargain during the sales?



ID 7069

LeslieGreen K11At present you have two heater elements supplied by two twin cables as shown in diagram A. The cables are old and damaged so you have decided to replace them with a single twin cable as shown in B. The system runs on low voltage DC so you feel safe to make the change. The heaters were permanently wired in parallel on the old system, so you have not made a change other than to the wiring.

The old cables used to run quite hot so you make sure to double the cross-sectional area of the conductor in the new cable.

Have you made a satisfactory change?



ID 7070

LeslieGreen K11

The manufacturer of a particular brand of paint has specified that the 2.5 L of paint in the tin will cover 32 m2.

Neglecting wastage and spillage, how thick is the paint on the wall, assuming the manufacturer's figures are correct?

Note: 1 mL = 1 cm3



ID 7082

LeslieGreen K10The image shows the cross-section of a simplified electrical water heater. The insulation is so good that we shall consider it to be perfect.

Water flows through the heater at a constant rate. Electrical power is supplied at the constant rate of 1kW.

The system is left to reach equilibrium. How much heat is absorbed by the outgoing water?



ID 7083

LeslieGreen K11The image shows the cross-section of a simplified electrical water heater. The insulation is so good that we shall consider it to be perfect.

The design is based on an existing water heater which works well. However, management have decreed that the old heater is too big. Without changing the internal pipe structure significantly, the length of the heated section has been reduced by a factor of 10.

The water flow rate and electrical input power (2kW) have been kept the same. The characteristics of the insulation and heater element are unchanged compared to the previous design.

What is the most likely outcome?



ID 7093

LeslieGreen K10Estimate how much it costs to flush the toilet at home given the following:
(1) we only consider the incremental cost, not the fixed costs
(2) water supply cost is £1.5373 per cubic metre (as measured by the water meter)
(3) sewerage services cost £1.6594 per cubic metre (and are estimated as 90% of the supplied water quantity)
(4) a "standard flush" is 6 litres according to manufacturer's installation instructions.

Remember that 1 L = 1000 cm3
The British pound (GBP, £) is just another decimal currency so £1.00 = 100p



ID 7099

LeslieGreen K12

You spin a wheel and it randomly lands on $1, $2, $3, or END. If you land on $1, $2, or $3 you get that money and spin the wheel again. You keep receiving money until you land on END.

What is the probability of receiving $2 or more when playing this game once?



ID 7101

LeslieGreen K12

This is a UK mains socket, nominally rated at 230 V AC, 13 A (3 kW)

When is it most likely to catch fire?



ID 7104

LeslieGreen K12Consider an extremely rare event which might randomly happen with a probability, P, of 1 in 1 million million (10-12). This might be the probability of your street getting hit by a meteorite during a particular hour, for example, but we don't pretend for an instant that the probability given is actually correct for such an event. Now consider that this event has 10 million chances to occur (N), so for our example we might say our observation period was 10 million hours.

How should you calculate the chance that the event will occur within the stated interval when using a handheld calculator?



ID 7105

LeslieGreen K12

Desmond von Dummkopf is showing off to his (so-called) friends again. He is going to ride his unicycle over the strong concrete structure shown. (5 m/s is roughly 11 mph.)

Does he have any chance of making the jump?

(We only consider the jump, not the ability to hold the unicycle upright during and after the landing --- if he should succeed in getting to the other side.)

g = 10m/s2



ID 7111

LeslieGreen K12

The sketch to the right suggests the outline of a wire-frame bird-cage. The wire is thin, with large gaps, so the bird can easily see in all directions. The cage is supported by a single cord (red). The size of the bird is very small compared to the size of the cage.

As an experiment we hang the red cord from an electronic force sensor to measure the weight of the bird plus the cage.

What happens to the measured weight when the bird flies around?



ID 7114

LeslieGreen K12It is easy to show that making beams long in the direction of the load makes them disproportionally stiffer.

We have a simple wooden rod with a square cross-section. Let's suppose it has a 2cm x 2 cm cross-section and is 1m long for the sake of clarity. One piece of this wood is not stiff enough for our purposes, so, knowing the stiffness equation, we stack three pieces up vertically. The three rods together now have a cross-section of 2cm x 6cm with the rods stacked upwards (the direction of the load), not sideways.

How much stiffer is this new assembly compared to the original rod?

WARNING: Do not try bending any beams like this without using eye protection. Certain rulers are known to shatter and eject bits of plastic into nearby eyes.



ID 7121

LeslieGreen K12PCR (Polymerase Chain Reaction) is a technique used to make copies of a particular section of DNA. It is therefore also referred to as DNA amplification.

A PCR machine heats the sample (along with various other ingredients) up to 96°C to split the DNA strands, cools it to around 60°C to allow binding to the separated DNA strands, then heats it up to 72°C to complete the copying process. Because DNA is a double helix, and each side is copied, each PCR cycle roughly doubles the amount of the DNA section present.

If we start with one DNA chain, how much would we expect after 30 PCR cycles?



ID 7123

LeslieGreen K12The black washer is constrained to randomly fall flat onto the outer square, the outer edge of the washer being within the outer square. The diagram is exactly to scale.

What is the probability that we see only red through the hole in the washer?



ID 7131

LeslieGreen K11A computer programmer has characterised his new brick-built house methodically over a period of several years. He knows exactly how much heat to apply to the inside of the house for each and every condition of outside temperature, wind, rain, and humidity, when these are constant for a reasonable period of time (equilibrium conditions).

What happens when he runs his new temperature stabilisation program (assuming the program works as intended, in other words bug-free)?



ID 7132

LeslieGreen K12John lives in a fairly well-insulated fairly old brick-built house in a central European location. In the winter the weather gets quite cold at night compared to the day.
Peter lives in a much newer brick-built house in the same village as John. The locations of the two houses in terms of local climate and wind are similar.

John turns off the heating between the hours of midnight and 6am to save money on his heating bill. Peter claims that John is wasting money on his heating bill because John has to keep heating up the walls every day, rather than leaving them at a more even temperature. Peter has evidence that his scheme of leaving the heating on all night is better since his heating bill is 10% lower that John's; their houses are similar sizes, and kept at the same sort of temperature.

Which scheme saves the most on energy costs?



ID 7133

LeslieGreen K12There is a new and dangerous strain of bacteria in town. You have a total of 10 anti-biotics and supplements available, but you have been told that they are all individually ineffective. You hope that some combination of them may be effective, and you also hope that when testing, the relative amounts of each constituent is not critical.

Fortunately you have a fully automated sample handling facility at your disposal, so you can make as many tests as you want, and the computerized system can tell if the result is a success without your intervention. It is the nature of such tests that the sample needs to be incubated for 24 hours to see if it has been successful.

How long will it take to fully test your idea?



ID 7134

LeslieGreen K12Americium-241 is a radioactive isotope with a half-life of 432.2 years. It is widely used in domestic smoke alarms in the form of Americium-241 dioxide.

Estimate how much of the Americium has decayed at the end of the typical 10 year service life of a smoke alarm.



ID 7141

LeslieGreen K12The picture shows two temperature/humidity meters of the same type, bought at the same time and from the same place. The specification in the manual that comes with the meters says that the temperature resolution is 0.1°C and the refresh rate is 10 seconds. The website selling the meters claims the accuracy is plusmn;1°C.

The meter on the left has been brought into the room and left to stabilise for about 2 minutes. (If it had been put on the right the reading on that meter would still have been low.)

Why are the readings so different? Which answer is the most guaranteed?

(The picture has been edited to remove branding information, and that is all.)



ID 7147

LeslieGreen K12The sinking of the unsinkable RMS Titanic in 1912 (after it hit an iceberg on its maiden voyage) is a well known engineering disaster story. As with many such disaster stories it was not just one thing that caused the disaster, but a whole catalog of errors.

The sides of the ship were 1 inch thick mild-steel plates, overlapped and hot-riveted together. In this case the iron (or steel) rivets were heated until they were red hot (actually glowing red) then pushed into holes in the steel plates and hammered over. As the rivets cooled, they contracted, making really strong joints.

We suppose that one faulty riveted joint is just about acceptable, but that two right next to each other is bad. Suppose we have 4 rivets in a row, and the probability of a faulty rivet is 1 in 1,000. Estimate the probability of two faulty rivets right next to each other.



ID 7148

LeslieGreen K12A manned space mission to Mars requires a reliable electrical power generation system. For this reason three of the same type of power generators are taken, each of which is sufficient to supply the requirements of the mission. The probability of failure of any one of the power systems during the flight is estimated to be 1 in 100,000.

Estimate the probability of a failed mission in terms of just the electrical power supply.



ID 7149

LeslieGreen K12In the recycling of cars, the body of the car gets shredded by powerful machines and the resulting chunks of material first have the ferrous metal (primarily iron and steel) removed by means of permanent magnets. The next step takes the non-ferrous metals (aluminum, brass, etc) and throws these off the conveyor belt using the force from an alternating magnetic field (an eddy current separator). The non-metallic waste passes through the eddy current separator a second time to improve the separation.

If we suppose that 10% of the non-ferrous material remains after the first pass, how much remains after the second pass?



ID 7150

LeslieGreen K12You have 4 electronic weighing scales. You test all 4 with the same 50.000kg reference weight at different times of the day, and on different days, to establish their accuracy.

The results are shown below.

You want to pick the best scale to use in your new coffee bean filling station because you know that you have to supply at least as much coffee as you put on the label, but any amount more than that is just wasted as far as your profit is concerned. The bags are marked as 50kg.

Which scale should you pick?



ID 7152

LeslieGreen K12

The image shows an electrical power meter set to read in units of kWh. Given that at the start of the test the last three digits were 9.45, and 30 minutes later the last three digits were 9.50, what was the average power consumption during that period?

(The image shows the last three digits as 9.48 as the picture was taken during the test.)



ID 7153

LeslieGreen K12The manufacturer of a 5000 point linear sensor array for flatbed scanners has a new quality manager. The old quality manager ignored single isolated pixel faults within the array, but rejected an array where two faulty pixels were right next to each other. The new quality manager wishes to improve quality by rejecting dual-fault arrays if the two pixels are within 10 pixels of each other.

Pixel faults are entirely random, and occur with a probability P = 10-5 (1 in 100,000).

To be clear about this, the pixels are all in a single straight line. If pixels 1 and 11 are faulty, that is the limiting case of a faulty array.
Considering only two-fault arrays, how much more probable is a failed array under the new scheme?

If you don't know where to start with this problem, try an easier one first.



ID 7154

LeslieGreen K12 In many homes, old and new, you find radiators directly underneath the windows.

Why?



ID 7160

LeslieGreen K9
What is the secret message in the text below?

Mary Evans eventually took Michael, Ewan, and Tom Maudsley into Downton, not into Glasgow’s heavy traffic.



ID 7161

LeslieGreen K11The cipher-text shown would be very difficult to decipher by hand if it were not for one crucial mistake. The sender has addressed the recipient by name, and we have guessed that the message is for Betty.

What is the message about?



ID 7165

LeslieGreen K8Jason has just realised that playing Total Death & Destruction XVIII every night is not going to help him in adult life. Instead he has resolved to spend 20 minutes a night on A+ click, working through all the problems starting from those for 6 year olds, and working his way up. He has realised, somewhat belatedly, that by practicing problems he will get better at solving problems. For the kiddy problems, the game is to solve the problems as quickly as possible whilst still getting the correct answer.

Given that the A+ click problems are supposed to take one minute or less to solve, how long will it take him to solve the first 6000 problems.



ID 7166

LeslieGreen K11
Kevin lives in a remote location and he often experiences power outages during poor weather conditions. He has resolved to build a battery backed-up solar and wind powered electrical system to maintain his power in any conditions. In order to design such a system he has measured his power usage over a typical winter's day.

Which are the essential readings from
1) Average power
2) Mean power
3) Minimum power
4) Maximum power
5) Standard deviation of power
6) Variance of power



ID 7167

LeslieGreen K12
Which of these is the biggest lie?



ID 7171

LeslieGreen K12
Analyse the graph shown.

What is the strongest statement you can be sure of from this data?

Image credit: Quora



ID 7175

LeslieGreen K12You have been told that the weight of cabbages produced by the hydroponics facility has a Gaussian (Normal) distribution with a mean of 1000g and a standard deviation of 100g. Estimate the proportion of cabbages in the range 900g to 1100g.



ID 7176

LeslieGreen K11In Timmy's school there are lots of girls of a similar age to him. He estimates that about half are natural blondes and half are brunettes. There don't seem to be any black haired or ginger haired girls for some reason. He has been told that there are roughly as many girls with blue eyes as there are with brown eyes, and other eye colours are also not present.

Estimate the probability that if he picks a girl from his school at random she will be a natural blonde with brown eyes.



ID 7177

LeslieGreen K11We have been told that the local population of men have an average height of 66 inches, and that their height has a standard deviation of 2 inches.

Estimate what proportion of these men have a height in excess of 63 inches.



ID 7178

LeslieGreen K12You are in charge of quality control in a factory producing tens of thousands of self-sealing stem bolts per day. You measure the length of every bolt and produce a statistics report for the management every month. You have curve-fitted the data to a Gaussian (Normal) distribution and extracted the mean and variance data.

Is it correct to calculate the out-of-tolerance rate using statistical tables based on the measured mean and variance data?



ID 7179

LeslieGreen K10"Mathematics all looks like Greek to me", you say. And much of it is, so you are right!

On the left of the equation we have what looks like the letter U with a tail at the start. It is the lower case Greek letter mu. To the right of the equals sign we have a huge symbol that is a bit like a capital E, but different. It is the capital letter sigma, also Greek. What we have here is sigma notation which you should think of as summation.

It is inconvenient to write a + b + c + d + ... for hundreds of values. Instead we might call all the values x and use a subscript to identify the different values. This is very convenient for experimental results as reading 1 has subscript 1, reading 2 has subscript 2, and so on.

Remember that "sub-" means below like submarine, sub-optimum, sub-standard; the index is just below the main symbol.

What is mu as given by this equation?



ID 7180

LeslieGreen K11
Since we don't actually speak Greek, putting the Greek letters in the correct order can be problematic.

The intention was to write: alpha, beta, gamma, delta, epsilon, from left to right.

Did we succeed?



ID 7181

LeslieGreen K12
What is the value of A?



ID 7182

LeslieGreen K12
Multiplication of 2 x 2 matrices is boring and only for little kids ... except perhaps when they contain imaginary numbers.

i is the square root of minus one.

What is the value of X?



ID 7183

LeslieGreen K11
In the field of complex numbers we have a number which consists of a real part and an imaginary part.

The imaginary part is some multiple of i, where i is the square root of minus one.

Given Z = 4 + 3i
and W = -3 - 2i

What is the real part of the product of Z and W?



ID 7184

LeslieGreen K12
Which material in this list is the most strongly anisotropic?

School problems often deal with uniform isotropic materials: iso- as a prefix has the sense of sameness. Isotropic materials have properties which are the same, independent of direction. The an- (or sometimes just a-) negates the following items such as anaerobic, anastigmatic.



ID 7190

LeslieGreen K11
Neglecting a scaling factor, the image shows a general quadratic equation with two constants, b and c.

Quadratic equations always have two solutions (roots) but they can be the same, and they can involve complex numbers.

What is the exact condition that the two roots are the same?



ID 7194

LeslieGreen K11
Why is the sky sometimes blue?



ID 7195

LeslieGreen K12
Given that the cosine of an angle is 3/5, find the sine of that angle without using a calculator or trig tables.

Hint: use Pythagoras.



ID 7198

LeslieGreen K12
Consider the following statement:

"A hovering helicopter has no vertical or horizontal motion. Given that mechanical power requirement is force x velocity the mechanical power required to do so is zero so the helicopter engine is just idling when hovering."



ID 7199

LeslieGreen K12A certain premium digital meter has a stated DC volts accuracy specification of plusmn;[0.15% of reading + 2 counts].
On the 6 V range it will display 6.000 V, in other words the last digit is changing in steps of 1 mV.

You have correctly set the zero reading and you are measuring a voltage of 50 mV.

What is the specified accuracy of your reading, neglecting any other considerations?



ID 7201

LeslieGreen K12An inexpensive hand-held laser range finder projects a red laser beam onto a wall a few meters away, and returns an accurate distance reading with 1 mm resolution.

Assuming this is a simple time-of-flight measurement of a laser pulse, what is the necessary resolution of the time measurement?

The speed of light is 3 108 m/s (300,000 km/s).



ID 7214

LeslieGreen K11The householder has realised that in due course the rug-rats will spontaneously evolve into large adults, and therefore the household hot water requirements will double. In order to double the hot water storage capacity the householder can either put in an extra identical hot water storage tank, or just put in a single double-capacity tank.

Neglecting everything other than the heat-loss through the insulation, which solution gives a lower cost?

We assume that the hot water storage tank is just scaled up for the double-capacity tank, although the insulation thickness remains the same.



ID 7216

LeslieGreen K9Jennifer wishes to transform her rooms from the existing Dungeon Grey to a bright pastel color. She knows from experience that this large a color change will require 3 coats. Her chosen paint is an expensive type with double the reflected light compared to ordinary paints. It also costs twice as much per tin.

Assuming the paint is applied in the same thickness per layer, what is the cost reduction (as a ratio) by using two layers of a cheaper ordinary reflectivity paint before putting on a top coat of the more expensive high reflectivity paint?



ID 7230

LeslieGreen K10
When painting a room with a paint brush, in which direction should a right-handed painter proceed?

Hint: consider also painting at height and older painters.



ID 7238

LeslieGreen K8
Painting with a roller is faster for large areas, but requires more clean-up of the roller and tray.

Let' suppose a roller covers twice the area in a given time compared to a paint brush, but that cleaning the brush takes 5 minutes whereas cleaning the roller and tray takes 20 minutes.

Beyond what length of painting job does the roller become quicker?



ID 7239

LeslieGreen K7With uncharacteristically mathematical insight, John's dad has realised that there is a cost associated with being an unpaid taxi service for John.

John's dad has costed this as $3 for fuel plus an arbitrary $3 "annoyance cost", since John's trips seem to increasingly occur during live sports events on TV.

If a new bicycle costs $200, after how many of these trips will John's dad feel that he is profiting by just giving John a new bicycle, allowing John to make his own way?



ID 7253

LeslieGreen K10The satelite picture shows Great Britain, also known as Britain, that is a large island in the north Atlantic Ocean off the northwest coast of continental Europe.

What can you say with certainty about the length of its coastline?



ID 7263

LeslieGreen K11
The photo shows a dial gauge caliper. (It has been edited to remove the manufacturer's name.)

What is the reading?



ID 7266

LeslieGreen K10
You are unlikely to have seen these things before, but this is the debris from a domestic repair job. (The 1 foot ruler is just to show the size of the parts.)

But can you guess what was being repaired?



ID 7267

LeslieGreen K11
What is the meaning of a belt and braces approach?



ID 7268

LeslieGreen K12
A satellite in geostationary orbit is essentially weightless. It needs to move about its axis and to nearby positions at the same orbital radius.

Which is the best (correct) statement?



ID 7269

LeslieGreen K12Cathy is all alone in the spaceship, 1km from the mother-ship. The (hideous) fate of the other crew members has been withheld. Cathy's spaceship is totally out of fuel and is dead in space relative to the mother-ship.

Cathy has one chance. She has created a loose bundle of equipment and waste which she estimates to be 1000kg of mass. If she can eject this mass from the airlock with enough speed she should reach the mother-ship before her air runs out. She estimates the current mass of her spaceship as 100,000kg.

Cathy cannot throw the 1000kg mass, but by pushing it and running on the ridged floor in the air-lock, she is confident she can eject the mass at 5m/s.

What is her estimate of the time to reach the mother-ship?



ID 7271

LeslieGreen K12John, the physics student, wishes to dry his wet rectangular towel on a radiator. He wonders how much has to overhang at the back to make the towel stable.

He is reluctant to put too much of the towel behind the radiator as this is the unknown territory of stale pizza, dead bugs, cobwebs, and other indescribable debris.

He models the situation as shown, where the radiator thickness has been exaggerated. He supposes that the towel only rests against the top of the radiator, shown in red. He further supposes that the length of this red section is negligible compared to the length, L, of the towel. He guesses that the coefficient of static friction for this situation is 0.50

What is the length of the long part of the towel in the limiting case?



ID 7274

LeslieGreen K12 By the time you have completed the calculations, and set the thrust magnitude, the 1000 kg lunar lander will be heading directly for the moon's surface at a speed of 50 m/s and just 250 m from the surface.

How much thrust is needed to give a perfect landing (neglecting the weight change due to the fuel expended)?

(The gravitational acceleration on the surface of the moon is 1.6 m/s2).



ID 7283

LeslieGreen K12Your boss has told you to buy a more accurate (and therefore more expensive) thermocouple probe to more accurately measure the room temperature using a thermocouple meter (digital thermometer).

Comment on this requirement.



ID 7289

LeslieGreen K11
The weather forecast shows an expected temperature of 5°C, but with the expected 10°C wind-chill, the weather map shows -5°C.

Assuming the weather forecast is spot on, will shallow puddles of water freeze?

[Remember that water freezes at 0°C.]



ID 7291

LeslieGreen K12
The iPhone has a smooth underside resting on the smooth level surface. It has a mass of 130g. The coefficient of static friction between the phone and the surface is 0.2 exactly. I horizontally pull the phone by the attached white cable with a force of 0.2 N.

What is the magnitude of the frictional force?

1kg = 1000g



ID 7292

LeslieGreen K12
The 0 - 60 mph (≈100 km/h) test is frequently used to compare cars. Suppose you took a car and pushed it off a cliff.

Neglecting wind resistance, how long would it take to complete this 0 to 60 mph test?

Take gravity as 10 N/kg and 60 mph as 30 m/s (it is actually 26.82 m/s, an inconvenient value for hand calculations).



ID 7293

LeslieGreen K12
In a typical lab setup for measuring frictional force, a block (blue) is pulled by a thin string or line (green) by a weight (yellow). The pulley wheel (red) is typically considered to be free to rotate without friction in the bearing.

What is the effect of some small friction in the pulley wheel bearing?



ID 7305

LeslieGreen K11
When people speak of protection from the Elements, what are they talking about?



ID 7306

LeslieGreen K10Elapsed time can get quite messy for computers to deal with.

How would you write 1 hour 23 minutes and 30 seconds as decimal minutes?



ID 7310

LeslieGreen K11This is a single sequence where there is a mathematical rule to go from one position to the next. There are no alphabets involved, this is a purely numerical problem.

1, 8, 4, 0, 7, 3, 10, ...

How many more steps before the 10 is repeated?



ID 7311

LeslieGreen K11A top-fuel dragster, burning nitromethane rather than petrol (gasoline), is able to reach a top speed of 336 mph (150 m/s) in around 5 seconds.

If we suppose that it accelerates at a constant value, what is that constant value?



ID 7312

LeslieGreen K12Your school work has finally paid off and you get to design your own electric dragster. The electric motor is so massively powerful that the torque output to the road wheels has to be limited to a certain fixed value to prevent the wheels from spinning.

What is your prediction of the real-world performance of this new design?



ID 7313

LeslieGreen K12Here we show the side view of a kitchen worktop with a grain of uncooked rice (not to scale) ready to be brushed into the blue bin below.

What is the optimal speed with which to brush the rice?

(Take the gravitational force as 10 N/kg)



ID 7314

LeslieGreen K12
In elementary Calculus we are often given y as a function of x and have to evaluate dy/dx.
In real life we do not necessarily have y and x.

Suppose we have V = ktimes;p
where k is a constant.

What is dV/dt?



ID 7316

LeslieGreen K12
A particle has a velocity which increases in direct proportion to its distance from its origin (the zero reference point for distance).

Describe its acceleration characteristic.



ID 7321

LeslieGreen K12
Now that John has to handle his own laundry, he has invented a new scheme. The top pullover on the shelf is the next one he wears. After washing, the cleaned and dried pullovers are placed back on top of the pile.

What is the best name for such a system?



ID 7322

LeslieGreen K8
The product of three non-consecutive coprime integers is 70.

Which is the largest of the three?



ID 7338

LeslieGreen K12
A man wishes to throw a ball such that it stays in the air for as long as possible.

The speed at which he throws the ball is some fixed value. The ground around him is featureless and level as far as the eye can see.

What is his optimum strategy?

(Neglect wind resistance and spin.)



ID 7339

LeslieGreen K11
It is a sad fact of history that as technology evolves it can get harder for a student to get started with a new subject.
There is a lot of new terminology to learn which did not exist earlier on.

Books from 1940 (and earlier) talk about cycles per second. This is a fairly self-evident unit.

But what is the modern equivalent?



ID 7340

LeslieGreen K12
Nerdy McGeekface throws a baseball as hard as he can, but unfortunately hits Beefcake O'Reilly square in the back.

Neglecting any subsequent activity, who feels the most impact?



ID 7341

LeslieGreen K10A man who lives half way up a mountain wishes to exercise his dog by throwing a bean-bag for the dog to fetch. For the sake of simplicity, consider the mountain as conical and relatively featureless in his immediate vicinity.

Which is the optimum direction to throw the bean-bag to maximise the exercise given to the dog?



ID 7342

LeslieGreen K9Share prices are notorious for going up and down, but on a long average they consistently go up in value over time. From year to year you see rises and falls. Suppose the annual changes were of

+10%, +15%, -5%, +2%, +7%, -3%, +10%.

Which is the best sequence to maximise your profit?



ID 7351

LeslieGreen K1130 discs, all of the same size, are placed into an opaque bag. 10 are made of aluminium, 5 are brass, 5 are wooden, 6 are made of ceramic, and 4 are magnets. The bag is shaken to mix all the discs up.

A blindfolded person has to remove a disc from the bag using only a magnet on a string.
(If more than one disc is attached, a second person selects which disc is the closest to a particular mark on the magnet on the string, and only this disc is removed.)

What is the chance that the disc removed is a magnet?



ID 7355

LeslieGreen K12The grey block is extremely heavy and rigid, with a perfectly horizontal frictionless top surface. The blue inelastic string over the frictionless pulley transfers force without loss from the small weight to the big weight. The big weight has 3x the mass of the small weight.

Initially, the masses are held in place by some unspecified device, with the string taut.

Describe the motion of the small mass when the masses are released.
Take the gravitational constant as 10N/kg.



ID 7361

LeslieGreen K12A toy car is released from stationary on a smooth planar slope which is angled relative to the horizontal, the sine of the angle being 0.2 (an angle of about 11.5°).

Taking the acceleration due to gravity as being 10m/s2, and assuming frictionless wheel bearings and negligible air resistance, describe the motion of the car (which was pointing directly downhill when released).



ID 7362

LeslieGreen K11A toy car is released from stationary on a long smooth planar slope which is angled down relative to the horizontal.

Describe the motion of the car (which was pointing directly downhill when released), assuming the wheel bearings have friction and that wind resistance is not negligible.



ID 7364

LeslieGreen K12
Not so long ago, but before petrol engines, and before small steam engines, cargo was transported down canals in barges, pulled by horses or even people.

Why would it have been advantageous to use a long rope?

The picture shows "Barge Haulers on the Volga", an 1873 oil-on-canvas painting by the Russian artist Ilya Repin.



ID 7373

LeslieGreen K11 Sheila opens up her piggy bank and counts the coins.
She lives in a strange and far away country, and the coins have values of 1p, 2p, and 5p.
There are 145 coins in total.
There are 5x as many 1p coins as 2p coins.
There are 4x as many 1p coins as 5p coins.

How many 2p coins are there?



ID 7374

LeslieGreen K11 John randomly chooses a piece of paper from a collection of green, yellow, blue, violet, and rose sheets. There is an equal probability of choosing any particular color.
At exactly the same time, Jane randomly chooses a pen from a collection of green, yellow, blue, violet, and rose pens. There is an equal probability of choosing any particular color.

Neither John nor Jane know what the other has selected.
Jennifer takes the pen and paper and writes a note.

What is the probability that the writing will be visible, given that writing using a pen of the same color as the paper will not be visible?



ID 7375

LeslieGreen K12 Jane randomly chooses a pen from a collection of white, yellow, and cyan pens. There is an equal probability of choosing any particular color.
John randomly chooses a piece of paper from a collection of white, yellow, and cyan sheets. The probability of choosing paper of a particular color is proportional to the number of sheets available. There are equal amounts of yellow and cyan, but twice as much white as yellow.

Jennifer takes the pen and paper and writes a note.

What is the probability that the writing will be visible, given that writing using a pen of the same color as the paper will not be visible?



ID 7376

LeslieGreen K12Patricia randomly chooses a pen from a large collection of white, yellow, and blue pens. The numbers of white and yellow pens are the same. There are twice as many blue pens as white pens.
Peter randomly chooses a piece of paper from a large collection of white, yellow, and blue sheets. There are equal amounts of yellow paper and blue paper, but twice as much white as yellow.

Wendy takes the pen and paper and writes a note.

What is the probability that the writing will not be visible? (This occurs when the pen and paper are the same color.)



ID 7403

LeslieGreen K11
There are three road vehicles, each having the same mass.

Which has the most powerful engine?



ID 7406

LeslieGreen K11 As any action hero will attest, when driving a car off the back of a transporter aircraft it is important to be going fast enough to prevent the underside of the car from hitting and dragging along the edge of the exit ramp. Whilst the underside of a car can have important things like hydraulic pipes, fuel lines, brake cables, drive shafts, differential gears, exhaust pipes, and so on, it is equally important for an action hero to not look seriously uncool when performing such a stunt.

How would you calculate the minimum speed of the car?



ID 7411

LeslieGreen K11In the design of multi-stage rockets, electrically-triggered explosive bolts can be used to separate the stages. If the bolt fails to break, the previous stage is still held in place -- and that is typically catastrophic. If the bolt breaks too early then that again can be catastrophic. Having made the part as reliable as possible, further improvement can be made by using series and parallel combinations.

Consider a series connection of explosive bolts. If any bolt fails prematurely, that joint has failed. Unfortunately, the series connection is more likely to fail prematurely.

If the probability of premature failure of one explosive bolt is p, what is the most accurate formula for the premature failure of two bolts in series (assuming random failures)?



ID 7412

LeslieGreen K10In the design of multi-stage rockets, electrically-triggered explosive bolts can be used to separate the stages. If the bolt fails to break, the previous stage is still held in place -- and that is typically catastrophic. If the bolt breaks too early then that again can be catastrophic. Having made the part as reliable as possible, further improvement can be made by using series and parallel combinations.

Consider a series connection of explosive bolts. If any bolt fails to break on command, the breaking of any of the other bolts allows the mission to continue. The series connection is less likely to fail to separate.

If the probability of separation failure of one explosive bolt is p, what is the most accurate formula for separation failure of two bolts in series (assuming random failures)?



ID 7413

LeslieGreen K12In the design of multi-stage rockets, electrically-triggered explosive bolts can be used to separate the stages. If the bolt fails to break, the previous stage is still held in place -- and that is typically catastrophic. If the bolt breaks too early then that again can be catastrophic. Having made the part as reliable as possible, further improvement can be made by using series and parallel combinations.

For a series connection of N explosive bolts, if separation failure occurs randomly with probability S for a single bolt, the series assembly fails to separate with probability SN. However, premature separation is N times more likely.

For a parallel connection of N explosive bolts (or explosive bolt series-assemblies) separation failure is N times more likely. Premature separation is less likely by the premature separation probability, P, being raised to the power N.

On a single mission, compare the probability of mission failure with a series chain of two bolts to the probability of mission failure with a single bolt.

(We take the probability of premature separation as 0.0001, and the probability of separation failure as 0.001 for a single bolt.)



ID 7414

LeslieGreen K10In adult relationships, by the time a couple has gone out more than a few times we suppose that the probability of the woman being happy with the pairing is 1/4 and the probability of the man being happy is 1/3. A long-term success is only likely if both are happy with the arrangement.

What are the chances of that happening?



ID 7415

LeslieGreen K12A population grows by 2% every year, a geometric growth.

How would you model this as an exponential growth?

(N is the number of years and exp( ) is the exponential function.)



ID 7416

LeslieGreen K12From an analysis of road traffic accidents in the last year a fairly large number of accident black spots have been identified where the accident rate is between 2 and 4 times the national average.

Three techniques have been randomly picked to reduce the accident rate in these areas, one per black spot:
1) Speed cameras
2) Psychic cleansing of the area
3) Hiding a garden gnome in the surrounding foliage, where it can see but not easily be seen.

It comes as a big surprise to the authorities that the average accident rate falls markedly in all the areas.

What is the best explanation for this effect?



ID 7417

LeslieGreen K9Carpets come in fixed widths and you buy a length to suit the room. You pay for the carpet, not by the size of the room, but by the size of the carpet you buy. A particular type of carpet comes in widths of 4.0 m and 5.0 m.

A room measures exactly 3.0 m by 4.4 m.

Which is the most economical width of carpet to specify?



ID 7422

LeslieGreen K11A conventional mechanical thermostat in a room is used to shut off the heating when the room has reached an adequate temperature. The heating might be gas, electricity, or oil for a thermostat to be used.

What happens after the thermostat turns off?



ID 7428

LeslieGreen K10Eight cards are taken from an ordinary pack of playing cards. There are 3 red cards and 5 black cards. These 8 cards are well shuffled, and two are taken out at random.

What is the probability that the cards are of the same color (colour)?



ID 7429

LeslieGreen K11In this game you are going to pick two cards at random from a pre-selected group of cards. If they both have the same color (colour) you win.
Clearly you want to win!

Which set of cards gives you the best chance of winning?

(Note: if you don't know where to start on this problem, try an easier one first)



ID 7430

LeslieGreen K12In this game you are going to pick two cards at random, one from each group of pre-selected cards. One group is to your left and one group is to your right.
If both cards have the same color (colour) you win. Clearly you want to win!

Both groups of cards have the same composition in terms of numbers of red and black cards. You pick from the left group with your right hand, and from the right group with your left hand.

Which sets of cards give you the best chance of winning?

(Note: if you don't know where to start on this problem, try an easier one first)



ID 7431

LeslieGreen K7Mary goes online and buys a new carpet for her living room. The carpet is cut from a huge 5 m width roll, and they cut off a length of 3 m. It is then rolled up and covered in plastic for protection.

What is the most probable length of the roll that is delivered?



ID 7433

LeslieGreen K10Much of modern equipment can be moved from one country to another and still perform the same useful function. The same cannot be said for the type of office paper strip-shredder used to obscure sensitive documents from prying eyes. These cut the paper into strips parallel to the long edge of the paper.

Why might such a shredder be a poor security device for languages such as Mandarin (Chinese), Cantonese (Chinese), Japanese, and Korean?



ID 7434

LeslieGreen K12We suppose that there are 5 programs on your computer that like pushing updates every month. We further suppose that each of them, during the update process, has some extra software which will get loaded by default if you are not awake enough to spot it. Now suppose that you are randomly inattentive, such that you spot the unwanted tick boxes only 99% of the time.

What is the probability that during the course of a year you will unintentionally download at least some unwanted software?



ID 7437

LeslieGreen K12A particular opportunistic petty thief commits his crimes at a rate of roughly 1500 per year. For any given crime there is a 99.9% chance that he will get away with it.

Assuming that he doesn't get over-confident, how many crimes will have been committed before there is a 50% chance of his getting caught?



ID 7439

LeslieGreen K12A local diary delivers 1000 pots of natural yogurt to a middle school every day. The probability of a single random faulty pot is 0.001, but they are only really concerned about having two or more faulty pots per delivery.

What is the probability of that happening?

(You will need to use a calculator)



ID 7442

LeslieGreen K11Throughout Europe there is something called Value Added Tax (VAT). This is one of the ways governments get income. It is their way of taking "a piece of the action", a phrase you may have heard of in relation to American gangsters of the 1920s. VAT rates vary from country to country, with 2018 rates ranging from 8% in Switzerland to 27% in Hungary.

Some (very annoying) websites do not display the VAT until you get to the checkout, giving a false (too cheap) representation of the actual price. With a VAT rate of 20%, it is convenient to be able to calculate it in your head.

Which figure is wrong?

£ means British pound
€ means European euro



ID 7443

LeslieGreen K8 When you are at school it is ok to get 70% or 80% in mathematics tests. Real life is not so forgiving of arithmetic errors.

If you give somebody less change than the correct amount you have 'short-changed' them and there will be trouble.

Which of these is incorrect?

£ means British pound
$ means American dollar



ID 7444

LeslieGreen K8Translate the following statement into a mathematical relationship, using
R to represent the number of REDs and
B to represent the number of BLUEs.

"There are at least twice as many REDs as BLUEs."

>     means greater;
≥     means greater or equal.



ID 7445

LeslieGreen K9Translate the following statement into a mathematical relationship:

"The Force, F, is directly proportional to the Elongation, E, of the spring."

A, B, and k are non-zero constants.



ID 7446

LeslieGreen K10In a class of 50 students, 24 speak French and 34 speak Spanish.

What is the probability that at least 6 speak both French and Spanish?



ID 7447

LeslieGreen K12If we look back to a time before digital cameras were everywhere (say before 1980) it was common practice when on holiday to get somebody else to take your photo. You would give them your camera and they would take the photo. (Nowadays it seems to be all 'selfies'.)

Given that the number of criminals in prison is something like 50 per million of the population, estimate the probability of your parents having their camera stolen when handed to three separate people when on holiday 40 years ago.



ID 7458

LeslieGreen K12 The image shows an actual screen snip concerning an order from a large online retailer.

Can you deduce what promotion has been applied?

(VAT = Value Added Tax)

£ means British pound



ID 7460

LeslieGreen K12 The quoted text shown to the right is from a specialist concrete expert website.

Assuming the example given is correct, which is the correct formula?

(Use J for the distance between joints, and D for the depth of the concrete slab.)



ID 7471

LeslieGreen K11Harry Hamster, Gerry Gerbil, and Ratty Rat have just escaped from captivity and are floating along a stream in a discarded plastic food container. Sadly the container has a small crack in it and is letting in water. They decide that the honourable thing to do is to draw straws, the one drawing the short straw being required to step out of the container into the stream.

The draw of the straws is of course fair. What is the chance that Ratty draws the short straw and drowns?



ID 7483

LeslieGreen K11The webmaster of a hugely popular mathematical puzzle site is concerned that some of the problems, although instructive, may be too boring.

If the problems are too boring he is worried that the students may instead watch funny cat & dog videos. He somewhat arbitrarily decides that if more than 20% of the problems are boring, too many students will be lost.

For any particular student we suppose that there are 80 interesting problems available.

How many boring problems can we tolerate before hitting this magic "boring threshold"?



ID 7484

LeslieGreen K10 Analyse the following statement.

"If students can solve all the problems correctly then there is no point in them doing so."



ID 7486

LeslieGreen K12The drawing shows one elevation of a solid square block. All dimensions are in mm. A datum surface, A, has been defined on the bottom face. The top face has a parallelism tolerance defined relative to the bottom surface. What this means is that two parallel planes are defined with the separation shown in the geometric tolerancing box. The top surface has to fit between these parallel planes.

Assuming that the part meets the specification, what is the maximum angular tilt of the top surface?

(We are using angular units of milli-radians, mrads)



ID 7487

LeslieGreen K12The image shows a block, viewed from the front.

Which image cannot represent the back view?

(Hint: be careful about what you can actually see.)



ID 7488

LeslieGreen K11 Jason, aged 12, is convinced that if he powers a high efficiency LED bulb from a large solar panel he will be able to maintain the light during the night, provided the LED bulb shines onto the panel.

Which question could he be asked to help him understand the problem better?



ID 7489

LeslieGreen K9 Mary, aged 10, has come up with an ingenious scheme. She wants to use an array of solar panels to effectively concentrate the moon-light and starlight at night to give some illumination in her bedroom for free.

What line of reasoning would you present?



ID 7490

LeslieGreen K10Given the following question:

"It is a wet Sunday afternoon in July. Sharon has picked up her two furry dice, one of which is red and the other of which is blue.
What is the probability that when she throws them, the numbers on both dice are the same?
"

How much information is redundant to the correct solution of the problem?



ID 7491

LeslieGreen K11Educational researchers have established that some students (who have very limited understanding) just take numbers presented in mathematical problems and almost randomly combine them, with little understanding of what they are doing.

There are 5 boys in a class. John likes Julie and Helen. Julie likes Peter, and 6 other boys. Mark is not in the classroom, but Helen is. There are 3 girls in the class with the 5 boys.

How many boys does Helen like?



ID 7492

LeslieGreen K12At a particular school there is a certain number of boys, B. Some fraction of the boys, H, have brown hair. Some fraction, G, of the students wear glasses.

Given that none of these figures have been disclosed, what can you say with certainty?



ID 7494

LeslieGreen K9According to the wise old saying,

"There are old soldiers, and there are bold soldiers, but there are no old bold soldiers".

Supposing this statement to be true, which region(s) on the Venn diagram represent this empty set.



ID 7496

LeslieGreen K12We wish to use a spreadsheet to evaluate the number of breadrolls R required for the school picnic.

Each boy B wants 3 rolls.
Each girl G wants 4 rolls, unless she is sitting next to a boy, in which case she has only 2.

Boys and Girls pair up as much as possible.

Which is the correct relationship?

The format of the if() expression given is
if( boolean_test,    [result if test is TRUE],    [result if test is FALSE] )



ID 7501

LeslieGreen K11When a fraction has zero on top its value is zero. When a fraction has zero underneath its value is infinity. But when there are zeros both on top and underneath we need to use a different method to evaluate the fraction. One method is to see what happens as we get closer to the limiting value.

Evaluate

sin(x) / x

as x gets closer and closer to 0.



ID 7503

LeslieGreen K12When a fraction has infinity on top its value is infinity. When a fraction has infinity underneath its value is zero. But when a fraction has infinity on top and infinity underneath the ratio can seem a bit indeterminate. We can nevertheless evaluate the ratio by observing what happens as we get closer to the limiting value.

For
f(x) = 6x3 + 2x2 + x;
g(x) = x3 + 6x2 + x

Evaluate f(x) / g(x)
as x gets closer and closer to infinity.



ID 7506

LeslieGreen K9 John was born in Jan 2000.
Mary was born in November 1999.

Which statement is always true?



ID 7507

LeslieGreen K10An apple juice producer has a problem with its latest batch of 800 liters of apple juice.

The specification is <10% by weight of natural sugar,
but this batch is 12.5%.

How much water do they need to add to bring the batch within the specification?

(Neglect measurement uncertainties.)



ID 7508

LeslieGreen K11Martin the Moles's territory has been invaded by keen gardener, John.
John has fenced off an area 12 m x 12 m. Martin is determined to repel this invasion by strategically digging 9 holes.
Martin knows that John wishes to make a square flower bed, with the sides neatly aligned (parallel) to the fenced-off area.
Martin positions his holes such that the maximum square flower bed is as small as possible.

How big is the maximum possible square flower bed after Martin has done his work?

(The hole size is neglected for the purpose of measuring the size of the flower bed.)



ID 7509

LeslieGreen K12A manufacturing facility in a backward and corrupt country is discharging toxic heavy metals into the nearby river. The local regulations stipulate that the heavy metal concentration in the outlet water must be less than 0.1mg/L. The plant manager knows that the level is actually more like 1mg/L, discharging at a rate of 1L/minute.

What rate of clean river water does the plant manager need to mix with the outlet water to bring the toxic discharge rate below the regulatory limit?



ID 7512

LeslieGreen K12For your latest project you want to screw the plywood top onto the workbench. 4 screws evenly spaced along the 24" (24 inch) short side should do the trick.

What is the correct spacing between the screws?

(This is practical mathematics. You are not allowed to use a calculator or even a pencil/pen and paper.)



ID 7513

LeslieGreen K12 In comedy sketches, it is not uncommon for somebody to fall backwards from an upright position, whilst remaining relatively rigid.

Without worrying about the real-world consequences of this, consider it scientifically.



ID 7516

LeslieGreen K12Social interactions are very complicated. Jane wants to sit next to Gerry, but would not be so obvious as to save a seat for him. Gerry will sit next to Jane if he can, be he is expected to arrive last out of the group of 4 students. Jane arrives first and has to pick the optimum spot to maximise her chance of sitting next to Gerry.

The bench has exactly 4 positions, which we label 1 for the leftmost (as seen when approaching the bench) and 4 for the rightmost. Jane has observed that students randomly sit on the bench, but there is a 2:1 bias for each seat to her right (left when approaching the bench).

Which position is best for Jane?

(This one is tricky. You might like to try an easier one first.)



ID 7517

LeslieGreen K10Because her birthday falls in the school summer holidays, the only people who come to Octavia's party are her three cousins. The round children's table has 4 places set and Octavia gets to sit wherever she likes. As her cousins enter the room they always randomly sit next to somebody who is seated, this being the social norm. Her smelly cousin always arrives last.

What is the probability that she has to sit next to her smelly cousin?



ID 7521

LeslieGreen K12 The little wooden block is held in position by two rubber (elastic) bands.
It is apparently not moving.

Why?

(Pick the most accurate answer).



ID 7522

LeslieGreen K12 The image shows a wooden block held by three rubber (elastic) bands, two on the left and one on the right. The block would ordinarily stay where it is, but using our (calibrated) fingers we can push it to the left or the right.

It will always return to the position shown when released. We never push it so hard that a band becomes loose or breaks.

Which curve represents the restoring force?

(HINT: Be careful, think it through!)



ID 7523

LeslieGreen K12 We have four functions, two of which are the inverses of the other two. Let's call the functions A and B, with the inverse functions being called !A and !B. As an example, A might be the natural logarithm function. We wish to establish which permutations of these four functions change an input X to something else (in general).

How many such permutations exist?

(If you are struggling to understand the question, then check out this much easier one first)



ID 7524

LeslieGreen K11Over the period in question, inflation is running at a constant rate of 5% per year.
House prices are rising at 5% per year above inflation.

How long does it take for the dollar value of a particular house to double, everything else being unchanged?



ID 7525

LeslieGreen K12We are given a set of outcomes for a secret experiment. The outcomes are too secret to mention, so they have been labelled as A, B, C, D and E.

The individually stated probabilities sum up to 1.103

Assuming that the stated probabilities are absolutely correct, and they have been summed up correctly, what can we deduce?



ID 7526

LeslieGreen K11The TV studio staff writers are bored with their action hero star and wish to bump him off to boost the ratings. In an unusual set of mutually exclusive and exhaustive outcomes, they plan to have him fall out of a helicopter with a probability of 1/3, get eaten by a crocodile with probability 1/4, contract a particularly fast acting virus with probability 1/5, get run off the road in a car chase with probability 1/6, or get thrown off a very large building.

What is the probability of him getting thrown off a very large building?



ID 7527

LeslieGreen K11Calculations for ideal electrical circuits operated with steady direct current are easily done using Ohm's Law, which gives the electrical resistance of a circuit (or component) as the ratio of the applied potential difference (voltage) divided by the electrical current (amps).

What is the electrical current in a 6 ohm resistor when a voltage of 12 V is applied across it?



ID 7534

LeslieGreen K12 The image shows a typical cordless-drill battery pack, and the 20 individual cells which were contained within. All the cells are connected in series so they all pass the same current. But when one or more cells become weaker than the rest, they cannot sustain the high current and get damaged, causing the whole pack to fail.

Compare the failure of one cell to the failure of a pack containing 20 cells.

Attention: please don't pull apart working equipment just to see what's inside. There are plenty of videos available on the web to see the insides of practically anything.



ID 7541

LeslieGreen K11Terry has noticed that all the miners in the area seem to end up in the saloon at some point during each month, and when they do they are carrying their gold dust in cloth pouches. These pouches carry faint traces of gold on the outside, especially as the miners often pay for things using gold dust from their pouches.

Terry estimates that there are 1000 miners in the area who come to this saloon. He further estimates that 1 part in 10,000 of their gold takings ends up on the floor for him to sweep up. This gold is not obviously visible as there is lots of dirt to sweep up.

Estimate what percentage of an average miner's takings Terry gets.



ID 7543

LeslieGreen K12A party has been organised with adults and teenagers. It is essential that there are roughly as many adults as teenagers in order to avoid a riot.
Each adult needs 7 pancakes, whilst each teenager needs 5.

142 pancakes have been provided.

How many adults have been invited?



ID 7548

LeslieGreen K11A particular voice recognition system is always ON, and listening for its name. It becomes active for a short time when it hears its name being called. Having become active it then listens for commands within its command list (until it times out). When it hears a command it then waits for a confirmation before performing that activity.

Because of background noise (family chatter and the TV being on) it becomes active. Suppose the probability of mishearing a command before timing out is 1 in 10,000. It listens for a yes/no type confirmation, and it has a 50% chance of hearing the wrong one, but suppose the probability of mishearing a positive confirmation before timing out is 1 in 100.

What is the chance of an unintended command being actioned once the voice system has become active?



ID 7550

LeslieGreen K6 Which of these should be used to help you draw a circle?



ID 7551

LeslieGreen K12For a typical lead-acid battery used on a car there are 6 cells, wired in series. A heavily discharged cell gives a voltage of 1.8V on no-load, whereas a fully charged cell has a no-load voltage of 2.1 V.

Typical car batteries do not allow access to the terminals of the individual cells. All you can measure is the voltage between the main battery terminals.

You measure the voltage between the battery terminals with the ignition and lights switched off using an accurate multi-meter. The reading is 10.1 V.

What is your initial diagnosis?



ID 7552

LeslieGreen K11The image shows a spinner, a random selection device with 6 edges upon which it can fall with equal probability.
If the spinner lands on 1, 2, or 3, that is Event A. If the spinner lands on 2, 3, 4, or 5, that is Event B.

But these Events conflict with each other, so we also say that in the event of a conflict we toss a fair coin and Heads means it is actually Event A.

In the case that neither Event A nor Event B occur, we re-spin until one of these Events does occur.

What is the probability of Event A?



ID 7559

LeslieGreen K10You have a garden hose with a spray head on the end. You connect the garden hose to the external water tap and turn the tap fully on. There is absolutely no water leaking from the spray head, but about half way down the hose there is evidently a tiny pinhole in the hose. A little jet of water is directed up at a 45° angle and reaches a height of roughly 9 cm.
You turn the tap half off.

What happens to the little jet of water?



ID 7560

LeslieGreen K11As you are walking past a discount supermarket a random local points at the cheese in the window and says

"You don't want to buy cheese from the supermarket up the road because that is the same as this, but costs half as much again."

(We have translated what was said to avoid using local slang like "wanna" and 'alf.)

Assuming that you ignore the advice, how much would you have saved assuming he was correct?



ID 7561

LeslieGreen K12The picture shows a cross-sectional view of some pipes and tanks filled with cold water. There are no strange temperature or gravitational effects going on. Just imagine that this is in a house.

The water has been stationary for some time, with the valve shown by the large X closed.

What happens when the valve X is opened?



ID 7562

LeslieGreen K11You are (truthfully) told that a bag contains one RED ball and two other balls which are some random (and unknown) combination of BLACK balls and YELLOW balls. Before picking a single ball from the bag you will of course be blindfolded. All balls have the same weight, size, composition, rotational inertia, and surface texture. To cut a long story short, your choice will be purely random.

You will be rewarded handsomely if you correctly choose the outcome of this task. Which is your best choice?

(We are using the ! sign to mean "NOT".)



ID 7563

LeslieGreen K12Life is always presenting us with choices and opportunities.

John is fairly well off and settled in his life. He has been presented with three opportunities all at once, only one of which he can choose, and such an opportunity is unlikely to present itself again.

A) He can get $11 with 95% certainty for no cost, and no risk.
B) He can get $10,000 with 0.1% certainty for no cost, and no risk.
C) He can get $10,000,000 with 1 chance in 1000, but he has to pay $5000 to participate.

Which option should he choose?



ID 7564

LeslieGreen K12It is very upsetting to see scammers posting videos on popular upload sites for the purpose of cheating people out of their hard-earned money. In a particular scam, two 12V batteries are wired in series. One battery drives a motor, the motor driving a generator that recharges the batteries, .. at least that is the claim for this "over-unity" (free energy) machine. They do also state that the other battery has an extra output of the generator charging it.

The video clearly shows the series battery voltage rising with time, which is the scammers’ evidence that excess power is being generated. As usual with these scams, the video is full of "vacuum energy", "quantum physics" and other misplaced terms used to baffle the innocent.

How is it possible for the series voltage of the batteries to rise without over-unity (excess) power being generated?



ID 7565

LeslieGreen K12You will often hear figures of 80%, 90%, or more quoted for the efficiency of electric motors.

You may be (temporarily) disturbed when you hear that there are load and speed conditions which cause this efficiency to be 0%.

For some random electric motor of any design, how many such load/speed conditions will always be present?

(HINT: you need to think about this from first principles.)



ID 7579

LeslieGreen K12A typical problem for kids goes something like this:

"1 man digs 1 trench in 1 day. How many days would it take for 9 men to dig 2 trenches?"

This is a stupid question which an adult would not even bother with.

Why not?

(Pick the best answer)



ID 7580

LeslieGreen K12Adults often worry about things like the cost of living and house prices. John has just bought his first home, by which we mean that he has saved up at least 5% of the price and has borrowed the rest as a mortgage. He hopes that he will be able to trade up to a larger house in the same area in a few years time. He hopes and expects that the larger house will always cost 50% more than the house he has just bought.

Assuming that house prices rise faster than the general level of inflation, is it easier or harder to trade up in the future?



ID 7581

LeslieGreen K12Which is more important, a good question or a good answer?

( HINT: consider several different situations.)



ID 7585

LeslieGreen K11The image shows a sliding square puzzle. Each square tile can move left/right/up/down if and only if the tile moves into the empty space.

How many moves are needed to go from the setup on the left to the setup on the right?



ID 7586

LeslieGreen K12There is a tiny fraction of the world's population who apparently believe that the Earth is flat, not spherical.

In one experiment to 'prove' their point, a believer takes a spirit level on an aeroplane (airplane) and sees that the spirit level stays level during most of the flight. He expresses the opinion in his video that the nose of the plane would need to be dipped down if the Earth's surface was truly curved. (It is hard to understand if the video maker is actually a Grade A nut-job or just a troll.)

Why does the spirit level stay level?



ID 7587

LeslieGreen K12It is a common experience that operating old water shut-off valves (isolators) can cause them to leak.

By 'leak' we mean that water comes out of the valve itself, rather than the valve failing to shut-off completely.

Why?

(Pick the most likely answer)



ID 7588

LeslieGreen K12The image shows a sliding square puzzle. Each square tile can move left/right/up/down if and only if the tile moves into the empty space.

How many moves are needed to go from the setup on the left to the setup on the right?



ID 7589

LeslieGreen K9The electron-volt (eV) is a tiny unit of energy (1.6 x 10-19 joules) often used in particle physics.

Due to careless typing, somebody has changed its usage in a technical report from 'MeV' to 'meV'.

What difference does this make?



ID 7590

LeslieGreen K11You are in a cool, dark, damp cellar. You shine your torch directly onto a small highly reflective disk, but this disk has a diffuse reflectance characteristic such that light reflects equally at all angles. Let's call this a 180° angle, meaning it reflects over a full hemisphere.

Roughly estimate how much brighter the disk would appear (in terms of reflected power) if it was equally reflective, but the characteristic was specular, filling only a 1° angle.



ID 7591

LeslieGreen K10The image shows a sliding square puzzle. Each square tile can move left/right/up/down if and only if the tile moves into the empty space.

How many moves are needed to go from the setup on the left to the setup on the right?



ID 7592

LeslieGreen K11 An extraordinarily expensive machine needs constant supervision, but during the course of a full 8 hour working day it can produce 1000 precision widgets.

Estimate how many machines would be needed to provide an output of 18,000 precision widgets per week.



ID 7599

LeslieGreen K11If we take points, lines, or 2D figures and multiply the co-ordinates (x, y) with a 2 x 2 matrix we can get a new set of points, lines, or 2D figures (x´, y´).

Here we transform the blue square into the red parallelogram. In general this process is known as a linear transformation.

Which is the correct linear transformation matrix?



ID 7600

LeslieGreen K12 Is there any problem with it?



ID 7601

LeslieGreen K12 We wish to use a 2 x 2 matrix to perform the transformation from the blue square (x, y) to the red parallelogram (x', y').

What is the value of the matrix element 'a' ?



ID 7602

LeslieGreen K10 The image shows a bank-note from a strange and distant land.

How many different ways can it legitimately be fed into a checkout machine in a supermarket?



ID 7603

LeslieGreen K11 Ships have a special line painted on the hull to show when they are at their maximum load. When the Plimsoll line (international load line) is at the same level as the water, no more load should be added.

A ship has been loaded to its maximum limit in a sea port, but then takes a brief trip a few miles inland to a river port to drop off a large machine.

Which is the most likely outcome?



ID 7604

LeslieGreen K12 When charged particles are accelerated (or decelerated) they emit radiation; the greater the acceleration the greater the radiated energy.

Why is a particle accelerator like a synchrotron so large in diameter?



ID 7608

LeslieGreen K11 A scientist is growing beans, and wishes to try out his new formulation of TurboGro which he fervently believes will make the beans grow bigger.
His task today is to pick 10 representative beans and see if their average weight is greater than the control group.

When measuring for the control group he rejects a few beans after weighing them as they seem a bit unusual. He explains the unusualness in terms of their position in the seed bed, non-uniformity of the lighting source, and so on. When measuring for the enhanced group, which he strongly believes must be bigger, he rejects a few small beans as the lighting was deficient, or there was a stone blocking the growth of that particular bean.

His results prove that he was right to trust the new formula. What has happened here?



ID 7609

LeslieGreen K8 American English and British English are similar, but despite global communications they don't seem to be rapidly converging to a common language. Minor spelling changes, like omitting the letter 'u' here and there, or using an 's' in place of a 'z' would not cause problems, but sometimes words can mean quite different things.

Which pairs are not the same thing?



ID 7610

LeslieGreen K12Regardless of the eye color (colour), the middle of a human eye is always black.

How can you see through it?



ID 7611

LeslieGreen K12During a summer day, everything looks bright and crisp. During a winter's day, things look dull and not so sharp.

What is the best explanation for this?



ID 7613

LeslieGreen K11Three bounded lengths are picked at random by a computer. The length never exceeds 100 mm and is not required to be an integer value. If the two shorter lengths do not exceed the longer length the set of lines is rejected. Otherwise the three lines are used to form a triangle.

Which type of triangle will be more numerous?



ID 7614

LeslieGreen K12The image shows a valve on a domestic hot water radiator. This valve has a drain-off connection to which the blue hose pipe has been attached.

The 1/2" diameter hose pipe is a very poor fit to the drain-off point, such that it would not stay in place without something pushing the pipe up into position. Nevertheless, when the drain valve was opened, and water flowed nicely out of the other end of the pipe, no water came from the loose pipe-to-valve joint.

Given that water typically leaks from any loose joint with great enthusiasm, what is the best explanation for why this did not happen?



ID 7616

LeslieGreen K12Having done extensive calculations and simulations, you know that a honeycomb composite strut will be exposed to a peak load of 10 kN. The mechanisms of stability loss of the strut under compression can be different. A batch of 1000 struts has arrived, and on a large sample you have established the breaking point as having a mean value of 10 kN, with a standard deviation of 1kN, the distribution being approximately Gaussian.

What is the probability of an in-service failure?



ID 7617

LeslieGreen K11 When driving a car, which situation gives a significantly increased risk if you scratch your nose?



ID 7618

LeslieGreen K12Disaster has struck the widget production line. Dowels and dowel holes on metalwork supplied by a new vendor are horribly out of spec. The corporate trouble-shooter has been called in because at least some widgets are desperately required.

The dowels have been accurately measured and any that are within the range 10.00 mm to 10.10 mm have been kept; the rest of the batch have been returned. Likewise, the dowel holes have been inspected, and only parts with dowel holes in the range 10.05 mm to 10.15 mm have been kept. The selection process has been so severe that the initial Gaussian distribution of sizes is effectively now uniform on the remaining parts.

If the dowel is the same size or smaller than the dowel hole we call that a fit.

What percentage of the selected pairs now fit together?



ID 7631

LeslieGreen K12Matilda is an inquisitive child. She takes a block with a mean height of 100 mm and sets it on the hard floor. She supposes that its height has a Gaussian distribution with a variance of 4 mm. She now sets another three of the same type of blocks on top of the first block.

Being quite advanced for a 9 year old, she now wonders what the distribution of heights above the floor would be for lots of kids performing the same activity.



ID 7632

LeslieGreen K11Matilda is an inquisitive child. She takes a block with a mean height of 100 mm and sets it on the hard floor. She supposes that its height has a Gaussian distribution with a variance of 4.5 mm. She now sets another of the same type of block on top of the first block.

Being quite advanced for a 9 year old, she now wonders what the distribution of heights above the floor would be for lots of kids performing the same activity.



ID 7633

LeslieGreen K12Jane has just taken her seat on the bus for another boring commute to work. The bus arrives at 7.59 am on average, and Jane estimates that the variance of its arrival time is 3 minutes, with a Gaussian distribution. Jane lives only a short walk from the bus-stop, and she estimates that the variance of her arrival time is only 1 minute, again with a Gaussian distribution. On average her arrival time at the bus stop is 7.55 am.

Estimate the percentage of the time that she misses the bus.



ID 7635

LeslieGreen K12Kevin is watching his niece stack wooden blocks. He wonders what happens to the relative height deviation as the number of blocks increases, supposing all blocks have the same Gaussian height distribution, and the blocks are incompressible.

Specifically what he wants to know is what happens to the ratio of the standard deviation of the overall height divided by the overall height.



ID 7640

LeslieGreen K12Premium cabbages have to be within the range 1 kg ±200 g.
Outside of this range, the cabbages have to be sold at a substantial discount for animal fodder.

Fred the farmer harvests his cabbages when he believes their nominal weight is 1 kg.
He estimates that the standard deviation of their weight is 100 g, and that their weight has a Gaussian distribution.

What percentage of his crop will be classed as non-premium based solely on their weight?



ID 7643

LeslieGreen K12Given machines of equal performance, on what basis might you argue that there is hardly any difference between the world's best motorcycle racer and the world's worst motor cycle racer?



ID 7644

LeslieGreen K12A gas-fired central heating boiler is a safety critical system. On one particular design, if the pilot light doesn't light, the boiler doesn't fire up. Then, if the pilot light is on, the fan is turned on. If the fan doesn't work the boiler doesn't fire up. Then, if the fan is working the main burner will light.

The fan working is sensed by a pressure switch. The pressure differential not only shows that the fan motor is running, but also shows that the fan blades are present, and that the flue is not blocked.

The pressure switch has changeover contacts. Why might this be the case?

Please don't experiment with gas-fired boiler circuitry. It needs to be touched only by fully trained and certified technicians.



ID 7648

LeslieGreen K12Peter's newish car has a reversing camera built-in. The reversing camera has a nice big display, giving a very high resolution image.

When reversing out of a parking space in a large open-air car park, which should he look at?



ID 7652

LeslieGreen K9Which is the most environmentally friendly solution to broken domestic appliances and equipment?



ID 7653

LeslieGreen K11 Janet has found a source of naturally hot underground water and has purchased the surrounding land. She has an undisclosed type of generator to turn this heat into electricity, and she places this generator right in the middle of the hot area to get the maximum amount of heat possible into her generator.

What is the most important thing has she failed to consider?



ID 7655

LeslieGreen K12 The photo shows a 4-way extension socket rated at 13 A, 230 V, and for the UK market. It seems to be well made.

Which operational use is most likely to cause a safety problem.



ID 7656

LeslieGreen K12The picture shows a mains extension reel for use in the UK market. These things are disproportionately likely to be the cause of domestic fires.

Why?

(Pick the most comprehensive correct answer.)



ID 7657

LeslieGreen K11If you need to reliably machine parts to a given accuracy specification, you typically need to use a machine which has several times that accuracy.

How can anyone ever make such a machine?



ID 7658

LeslieGreen K11 Why can kid's questions seem so boring and unrelated to real life?



ID 7663

LeslieGreen K12We wish to consider the effect of component tolerance on the product we are designing.

Which component has the greatest effect on the specification of our new product?

(HINT: don't make a hasty choice.)



ID 7664

LeslieGreen K11As part of a school project, your team has made a quad-rotor lifting platform with directional thrust control. The grey box is the container. The red blobs are electric motor nacelles (pods) which can rotate about an axis into the plane of the drawing (at right angles to your computer monitor's screen). The blue lines are the rotor blades.

The first step was to balance the motors and now you can lift up and down very smoothly, maintaining the platform level.

What happens when you maintain the thrust, but rapidly change the pod directions to 45° in order to move forward?



ID 7665

LeslieGreen K12As part of a school project, your team has made a quad-rotor lifting platform with directional thrust control. The grey box is the container. The red blobs are electric motor nacelles (pods) which can rotate about an axis into the plane of the drawing (at right angles to your computer monitor's screen). The blue lines are the rotor blades.

You have realised that as the thrust direction moves away from the vertical, the effective lifting force will be reduced, causing the quad-rotor to rapidly descend. In order to make it more controllable you therefore want to automatically increase the thrust when the pods tilt.

What thrust should you use, given that the initial steady thrust per rotor is T when the pods are vertical, and the pod angle relative to the vertical is A.



ID 7666

LeslieGreen K8In the middle of the photo is a small block of wood.

Which tool is best suited to the purpose of cutting the block of wood in half?



ID 7667

LeslieGreen K8 You have seen a method for weighing a car, where each wheel is weighed one at a time, the car being kept level by bricks and blocks under the wheels. You now apply this method to weighing a horse.

A= front left;
B = front right;
C = rear left;
D = rear right.

How much does the horse weigh?



ID 7668

LeslieGreen K11 The image shows an arrow at various points in time. The idea is to show that it is rotating continuously (clockwise) in the plane of monitor screen. The colors have no special significance.

If we consider standard XYZ Cartesian axes, we could say that it is rotating in the XY plane, or equivalently it is rotating about the Z-axis. Call the initial red arrow direction the Y-axis, so that the blue arrow is almost along the X axis.

What do you see looking back at the arrow from the X-axis direction?

(Ignore the features on the arrow.)



ID 7669

LeslieGreen K11 The auto-ignition temperature of a substance is defined as the temperature at which, under normal atmospheric conditions, a sample of the substance will spontaneously catch fire.

Given that the auto-ignition temperature of diesel fuel is 256°C, whereas for gasoline (petrol) the value is 280°C, why is diesel considered safer for use on boats?



ID 7671

LeslieGreen K10 P1 is a close-fitting and leak-free cylindrical piston in a cylindrical pipe. P2 has a similar construction and shape, but has three times the diameter. The yellow/gold space is filled with an incompressible liquid. The pipe-work is all strong and rigid. Both P1 and P2 are free to move within their respective pipes.

A 1000 kg load is placed on top of piston P2.

How much load needs to be placed on P1 to maintain the positions of both pistons?



ID 7673

LeslieGreen K9 If it is inevitable that you will now be late for an appointment, which amount would be the least late?



ID 7675

LeslieGreen K11On a distant planet the population of a particular bacterium increases by a factor of sqrt(2) [but not more than sqrt(2)] by day. By night the population reduces by sqrt(2) [but not less than sqrt(2)].

What happens to the initial population of around 1 million bacteria after 1 million years, assuming the data given above persist throughout that interval?



ID 7679

LeslieGreen K11 Indoor cats use a litter tray to dispose of unwanted bodily waste. The cat litter material comes in two distinct types: clumping and non-clumping. The clumping variety sticks together when used, and so is readily removable. The cat's human slave then cleans out the used material every day.

Having started with one brand of litter, the human then switches to a new variety. On day one there is 50% of the old litter and 50% of the new, nicely intermixed. At the end of the day it is estimated that 5% of the initial value of litter has been used, and this loss is made up with new litter, again mixed in nicely.

Using this is model, which formula correctly estimates the number of days (N) until the amount of the old litter is reduced to 1% of the amount in the tray?



ID 7680

LeslieGreen K12When offered the mains extension lead shown by an elderly relative for the purpose of assisting in pressure-washing their patio, what would be the most appropriate response?



ID 7690

LeslieGreen K12Each letter is uniquely mapped to a digit, and no digit is re-used. We assume leading zero suppression because that is the natural way that numbers are written.

There are obviously quite a lot of different values that can be used to make this summation correct.

Estimate how many.



ID 7693

LeslieGreen K12Sticks are available in lengths corresponding to a geometric series. If the first stick has length 1, then next has length R, the next R2, the next R3, and so on.

For religious reasons we insist that no set of three sticks can be used to form a triangle.

What is the minimum acceptable value of R?



ID 7696

LeslieGreen K12It is reported on the news that survival rates for particular aggressive cancers are worse in your country than in at least one nearby country. The survival rates are in the range 7% to 12%, so that is not good anyway.

Which statistic would you now like to know to understand this news better?



ID 7698

LeslieGreen K11In the game of darts, the thin outer ring is doubles of that sector value, whilst the smaller inner ring is trebles. By eye, the radial width of the rings seems to be about the same. Using a ruler, the outer ring has a radius of about 33, whilst the inner ring has a radius of around 20.

How much easier is it to throw an arbitrary double compared to a treble of the same number?



ID 7705

LeslieGreen K12Many computer and mobile systems lock you out if you enter your password incorrectly 3 times in a row.

Given that this is the case, why do you need a password with more than a few thousand possibilities?



ID 7706

LeslieGreen K12Passwords protect very important things like bank accounts, and yet people formulate them very poorly.

When told to make the password at least 10 characters long they make them exactly ten characters long.
When told to include at least one digit they include exactly one digit.
When told to include at least one special character ($%£€&*+=#^?/!®) they include exactly one special character.

You then get the situation where the person picks a dictionary word (a word found in a dictionary) then tags on a digit and a special character.

Compare the security of a proper 10 character password to the word "password" with random capitalisation followed by a number and a special character in any order.

(For simplicity use one of ten special characters.)



ID 7707

LeslieGreen K12The voltage (potential difference) across the terminals of an ordinary 12 V battery found in most cars never exceeds 15 V, and typically is in the range 13.8 V to 14.4 V.

Typically safety standards refer to supplies whose voltages are guaranteed to be below 60 V (DC) as being safe from the point of view of electric shock.

Which statement is both correct and the most comprehensive we can be sure of?



ID 7710

LeslieGreen K12A 4 kg adult cat is floating on a 3.9 kg wooden block in a paddling pool filled with water. The water depth is 10 cm.

The surface of the wooden block is covered in a non-slip rubber mat so the cat can get a good grip on it. This cat is an experienced jumper, but is unused to water.

The cat decides it is now close enough to the edge of the pool and jumps. What is the most likely outcome?



ID 7722

LeslieGreen K8A poorly chosen font can affect the readability of your writing.

Which pair are most easily confused when using the red font?



ID 7724

LeslieGreen K12A particular satellite costs $350M to make and $350M to launch. A deal is possible such that the launch date can be pushed forward by 1 year, but the launch vehicle is of a very new design and has very little launch data to back it up. Because the launch vehicle owners want to get more launch data, they offer to launch the satellite for $20M. Statistics are hard to come by, and unreliable, but you estimate the chance of mission success is 9%.

Is it worth the risk?



ID 7728

LeslieGreen K7Adrian, Brian, and Charles compare the amount of pocket money (allowance) they get.

Adrian gets $1. Brian gets $6. Charles gets $11.

They don't mention how often they get this sum. As it turns out, Adrian gets his daily, Brian weekly, and Charles once every fortnight.

Who gets paid at the highest rate?



ID 7731

LeslieGreen K11Alice, Caroline, Emily, Bethany, and Danielle together have 18 mathematics text books.
Danielle and Alice have 6 between them.
Emily, Danielle, Caroline, and Alice have 15 between them.
Danielle, Alice, and Emily have 8.

How many mathematics text books does Caroline have?



ID 7732

LeslieGreen K12Anna, Catherine, Evelyn, Barbara, and Daisy together have 18 stuffed animals.
Daisy and Anna have 6 between them.
Evelyn, Daisy, Catherine, and Anna have 15 between them.
Daisy, Anna, and Evelyn have 8 between them.

We have 4 equations and 5 unknowns.

What don't we know?



ID 7733

LeslieGreen K12In an automated checkout till at a supermarket, goods are scanned by the customer and placed on the out-going counter. This counter is actually a weigh-scale so it verifies that the bar code and item weight agree. Having finished scanning your items you then pay for them before bagging them up and taking them away.

What is the best point for the automated till to say "good bye" in a polite and friendly voice?



ID 7734

LeslieGreen K12Battery manufacturers tell you to not leave batteries in toys, torches (flashlights), or appliances for storage, or for extended periods. They typically do not say why.

Why do you think they make this recommendation?



ID 7736

LeslieGreen K9Which type of food has less nutritional value, and often tastes worse, but costs more than normal food?



ID 7737

LeslieGreen K10In the user’s manual for a particular washing machine, the user is expected to clear the pump pre-chamber periodically to remove buttons and other debris from the machine. The manual says "a little water may tickle out" when the inspection cover is removed, but that this is perfectly normal.

How much water do you expect to escape?



ID 7738

LeslieGreen K11Which is a necessary and sufficient condition to make the approximation

sin(a) = a



ID 7739

LeslieGreen K12Dihydrogen monoxide, also known as hydric acid, is difficult to detect since it is both colorless and odourless and yet it has horrific consequences when mishandled. There are estimated to be over 300,000 deaths per year (world wide) caused by the unintentional inhalation of this substance, and yet efforts to ban it are dismissed out of hand.

In the US state of California addiction to this substance is so bad that people literally die if it is withheld from them for more than a few days. In Wisconsin, every household has at least one cold-water tap which has significant levels of dihydrogen monoxide present.

Dihydrogen monoxide has three distinct forms: solid, liquid, and gaseous. Prolonged exposure to the solid form can cause the skin to blacken; amputation of fingers and toes can then be necessary. Even brief exposure to the gaseous form can lead to an extremely painful burning sensation.

How should this substance best be handled?



ID 7742

LeslieGreen K11In the UK there is a government backed saving scheme called Premium Bonds. When you buy some of these bonds they are entered into a prize draw every month, with an average return of roughly the rate of inflation. The minimum prize is £25 and the maximum £1,000,000. This means that every month you have a (small) chance of a big win, but on average you get a fairly steady (tax free) income if you have enough bonds.

If you have £20,000 of bonds, and the return rate is 1% (per annum), what is your expected average winnings for the year?



ID 7743

LeslieGreen K12There is a low probability (P) that an event (E) will happen on any particular occasion, but the opportunities for this event are quite numerous (N).

For example, aiming at the golf hole in a single shot from a distance of 50 meters.

We would like to evaluate the probability of the event happening during the course of these N opportunities.

Which is the necessary and sufficient condition to use the value N x P as the answer?



ID 7744

LeslieGreen K12The image shows the side view of a solid cylinder on a gently sloping (brown) ramp.

The red upper half of the cylinder has 4x the density of the blue lower half. The slope is just sufficient to compensate for the rolling resistance so the cylinder can continue rolling without limit. The cylinder has been rolling down the slope for several revolutions now.

Describe its motion.



ID 7745

LeslieGreen K12Having just completed a small painting job, you now need to clean the paint brush. The recommended method is to 'paint' some old magazine or newspaper until the brush is fairly clean before washing the brush in water. The idea is to put as little (wet) paint down the waste water drain as possible since it is a bit poisonous when wet, but ok when dry.

Having removed the staples from an old TV listings magazine, you can see two pages from the one sheet. Having 'painted' one side, you can't then lay that wet side down anywhere because the paint will transfer, ruining the worktop.

How many pages do you get to 'paint' from this one sheet?



ID 7747

LeslieGreen K6You were trying to hammer the nail straight into the piece of wood. Something went wrong and the nail bent.

Which tool should you now use to remove the bent nail?



ID 7763

LeslieGreen K12In the atomic model taught at school you have matter composed of electrons, neutrons, and protons.

Which substance is it most difficult for electrons to travel through?



ID 7764

LeslieGreen K12You have wired up a 12 V light bulb at the end of your 100 m garden using wire rated for 1 A. The light bulb takes 1 A because it is a high efficiency type.

You power the circuit from a 12 V supply designed specifically for this light bulb.

Why is the bulb so dim?



ID 7773

LeslieGreen K11There is an old saying,

"A bird in the hand is worth two in the bush".

In order for these two assets to have equal value, there must be some defined probability of capturing a bird from the bush.

What is this probability, assuming that each bird-capture is an independent event?



ID 7779

LeslieGreen K12The left side of the image shows a faulty (leaking) gate valve with a flange adaptor to fit a central heating water pump. The right side of the image shows the repaired assembly (using new parts) for context.

The replacement gates valves looked similar to the faulty ones, including the cut-outs in the clamping nuts, shown with red circles surrounding them. The parts came without instructions of any kind.

What is the purpose of the cut-outs?



ID 7783

LeslieGreen K8In an intentionally humorous TV commercial for coffee, the server describes a particular type of coffee product as two-thirds coffee, one-third milk, one third foam.

For the 'mathematically challenged' viewer the joke may not be evident. For the rest of us, what is the correct proportion of coffee?



ID 7786

LeslieGreen K9How many six-sided polygons can be drawn when following the existing lines in the image?



ID 7787

LeslieGreen K12We have balls which are either red or blue. Their weight, texture, size, and shape are all the same.

Bag 1 has one of each of the red and blue balls.
Bag 2 has 3 red and 5 blue.
Bag 3 has 3 blue and 5 red.

One ball is randomly chosen from each bag.

What is the probability that all three balls are not the same color (colour)?



ID 7800

LeslieGreen K9Farmer John is a real 'character' and you are unsure if he is mathematically illiterate.

He has just told you to take half the hay and move it to the west pasture, then take 3/8ths of the hay and move it to the east pasture, then take 1/5th of the hay and move it to the north pasture. He is in a hurry and wants it done by the time he gets back. You have written down his instructions.

How much hay remains in the barn when you are finished?



ID 7801

LeslieGreen K12We have balls which are either red or blue. Their weight, texture, size, and shape are all the same.

Bag 1 has two of each of the red and blue balls. Bag 2 has 1 red and 2 blue balls.

Three balls are randomly chosen from bag 1 and not replaced. The remaining contents from bag 1 are put into bag 2.

What is the chance that the first ball subsequently drawn randomly from bag 2 is red?



ID 7813

LeslieGreen K11In a democratic country, 75% of the electorate vote in a particular election. The candidate 'Rob the Slob' wins the leader's election with 60% of the vote.

What proportion of the population definitely wanted Rob the Slob as their leader?



ID 7815

LeslieGreen K12You wish to simulate a random distribution consisting of points within a circular area, each point being equally probable. To do this you pick random angles (alpha;) in the range of 0 to 2&π radians, and random distances (R) up to the required radius of the circular region. This gives random (x,y) points as:

x = R times; cos(alpha;)
y = R times; sin(alpha;)

Which sketch most closely represents the distribution you have created, D being the diameter of the required circular region, and the sketch being the probability in a cross-section through the middle of the region?



ID 7818

LeslieGreen K12A scientific expedition to a remote location finds the area infested with fleas. Raised circular sampling plates, covered in flea poison, are placed around the area.

The fleas jump onto the plates in a uniformly random manner, ingest the toxin, and then stagger off in a random direction for a random distance before dropping dead. The net result is that each flea has an equal probability of ending up in the circular region surrounding the point at which it first landed, regardless of other fleas (dead or alive) in its path.

The scientists measure the dead flea density along a diameter, and average the result over hundreds of sample plates. The maximum distance over which the flea staggers before dropping dead is roughly one fifth of the diameter of the sample plate.

Which sketched graph most closely represents the measured distribution of dead fleas on the plates?



ID 7824

LeslieGreen K10At some point in time, Alice is 6 years older than Brian.
In June of the next year she will be twice as old as Brian.

How old was Brian at the initial point in time?



ID 7825

LeslieGreen K12The image shows a standard summation formula.

But can you figure out what goes in place of the question mark?



ID 7826

LeslieGreen K11 The image shows the proof that the sum of the infinite series S has a value of -1.

What is your response?



ID 7827

LeslieGreen K12What is the least useful answer to the question: what is zero divided by zero?



ID 7832

LeslieGreen K12A rational number is defined as a number of the form N/M, where both N and M are counting numbers (positive integers).

The Big O notation is used to specify how a parameter affects a result. Suppose the time a computer program takes to run is proportional to the number of elements N being considered. This runtime is stated as O(N). If the runtime depends on the square of the number of elements then it would be O(N2).
O(N) means k x N, where k is not specified.
O(N2) means k x N2, where this k is probably not the same as the previous one, and is again unspecified.
O(N2) is not necessarily greater than O(N) for some value of N, but as N increases, O(N2) will eventually become larger than O(N).

For a large value of N, how many unique rational numbers can be created using only the counting numbers from 1 to N?



ID 7834

LeslieGreen K8 What is the value of A?



ID 7842

LeslieGreen K11It takes twenty 8-hour days for a man to dig a cylindrical hole 3 feet in diameter and 10 feet deep using only hand tools (no machinery). The ground is sufficiently strong that the sides of the hole do not need support.

12 of these holes need to be dug, but no additional equipment is available to do so.

What is the optimal number of equally skilled men that should be used to get the holes dug quickly, but without having men standing around idle, and being paid for not doing anything?



ID 7847

LeslieGreen K8As part of his magic show, a magician asks you to think of a number between 1 and 9, inclusive.
He tells you to multiply it by 2. Add 3 to the result. Multiply the new result by 3.
Finally, subtract 5 and tell him the resulting number.
The magician then correctly tells you the number you thought of.

How?



ID 7848

LeslieGreen K11Rational numbers are those of the form N/M, where N and M are both counting numbers (positive integers), and typically we make N and M coprime (no common factors) to express the rational number in its simplest form.

If we only consider counting numbers from the finite set from 1 to C, what is the density of rational numbers? In other words, do you get more in a certain part of the number line compared to other parts?



ID 7855

LeslieGreen K12A rational number is one which is formed from the ratio of two counting numbers.
Suppose we have counting numbers p, q, r, and s.
We further suppose that p and q are coprime (no common factors). Likewise r and s are coprime.

We then ask this question: Is it possible for p/q to be exactly equal to r/s when q and s are not equal?



ID 7857

LeslieGreen K12Why does it seem that old people do not want the latest technology?



ID 7866

LeslieGreen K8We wish to find the value which is greater than 3/11, lesser than 2/7, and also exactly half way between them.

Which is it?



ID 7867

LeslieGreen K12We have a left point L which has a single numerical value such 2.1245, then we have a right point R which has another value in the same sort of format. Maybe it is 4.2356.

What we want is a formula to move linearly from the left point to the right point by means of the variables N and M. If N=0 we are at the left point. If N = M we are the right point.

Which is the correct formula for V, the value of the required point?



ID 7874

LeslieGreen K9We wish to find the exact value of the point which is exactly one third of the way from 1/7 to 3/13.

Which is it?



ID 7875

LeslieGreen K12We wish to estimate how the water flow out of a bath changes with the height of the remaining water. To do this we equate the potential energy of the water in the bath to the kinetic energy of the outgoing water.

We vaguely remember that potential energy is proportional to height, whereas kinetic energy is proportional to the square of the velocity.

Using only this model, how does the outflow depend on the height?



ID 7876

LeslieGreen K11There is a problem with the moon landing craft and the crew bail out 500 m from the moon's surface, hoping to parachute safely to the moonbase below.

Their velocity relative to the moon's surface is roughly zero when they bail out, and the moon's gravitational acceleration is approximately 1.6 m/s2.

Estimate their landing velocity.



ID 7885

LeslieGreen K10A rational number is one formed from the ratio of two counting numbers, as shown in the image. Remember it is a ratio-nal number.
It is not uncommon for a rational number to have a recurring infinite decimal expansion as shown.

Which is the correct ratio?

(Do not use a calculator on this question).



ID 7897

LeslieGreen K12Georg Cantor (1845-1918) came up with a method to prove that there are an equal number of rational numbers and counting numbers. This is depicted in the image. We start from the finite set of counting numbers up to 10. Cantor claims that by associating each counting number with the next rational number in the array, every rational number is eventually mapped uniquely to a counting number.

The next rational number is always chosen along the diagonals of the array, as shown by the blue arrows.

In the image we show N= 10 and that means that at least 90 rationals are not matched. However, rationals of the form N/N are pretty uninteresting (all of value 1) so neglecting these as well we only have 80 unmatched rationals.

How many rationals remain unmatched for N= 10,000?



ID 7898

LeslieGreen K11The temperature was 20°C. The temperature then increased by 10%.

What is the new temperature?



ID 7900

LeslieGreen K11The image shows the systematic arrangement of rational numbers proposed by Georg Cantor (1845-1918), but limited to those formed from the first 10 counting numbers.

If instead of 10 counting numbers we use N, where N is very very large (but not yet infinite), what proportion of the rational numbers in this new table have a value less than 1?



ID 7901

LeslieGreen K10The image shows the systematic arrangement of rational numbers, but limited to those formed from only the first 10 counting numbers. Suppose instead we used the first 1,000,000 counting numbers.

How many of these rational numbers would have the exact value of 1/2?



ID 7902

LeslieGreen K12The image shows the systematic arrangement of rational numbers, but limited to those formed from only the first 10 counting numbers. Suppose instead we used the first 1,000 counting numbers.

Which value in the table is closest to 1/2, but less than it?

(Don't use a calculator.)



ID 7911

LeslieGreen K11The table shown uses only the first 10 counting numbers. We wish to see what happens as N gets bigger.

We want to estimate how many rationals on row 3 are not duplicates of previous values. Duplicates are found when the pair of numbers are not coprime (meaning they have a common factor). As an example 3/6 is a duplicate of the ratio 1/2 since both the top and bottom are divisible by 3.

Estimate how many rationals on row 3 are unique for a large value of N, given that all earlier rows are considered first.



ID 7924

LeslieGreen K11You measure the air temperature at 18:30 and it is -18°C.
You measure the air temperature again in the same location at 22:30 and it is -22°C.

What temperature would you have expected to measure at 20:30?



ID 7929

LeslieGreen K11The engineering formula book gives a sum between the limits of 0 and N-1, but you need the sum between the limits of 1 and N.

What is the value of T?



ID 7934

LeslieGreen K11Electronics is all about moving electrons around. But electrons are teeny tiny little things, so you typically need quite a few of them to do anything useful.

Consider an indicator light on a power tool. The light emitting diode (LED) probably takes 10 mA to light up. That is 0.01 amperes, or 0.01 Coulombs per second, a Coulomb being the unit of electrical charge. An electron has an electrical charge of 1.6 x 10-19 Coulombs.

Estimate (without using a calculator) roughly how many electrons need to pass through the LED per second to make it light up.



ID 7936

LeslieGreen K11Consider the summation S shown in the image with

a = 1/3
N = 10.

How many ones are there in the fractional ternary representation of S?

Ternary means "base 3".



ID 7937

LeslieGreen K12 Without using a calculator,
estimate the value of the sum S,
as defined in the image, for

a = 1/3
N = 1000



ID 7941

LeslieGreen K12The interesting series shown is divergent, even though the terms get progressively smaller. The value of H(N) increases as N increases, and the infinite sum is said to have "an infinite" value. But just how big is that?

The ln( ) function is the natural logarithm and ln(10,000) = 9.2
Let's make N pretty large,
say one hundred thousand million billion
(100 x 1000 x 1,000,000 x 1,000,000,000 = 1020).

For a quick estimate, ignore Euler's constant (0.577215...) and pretend ln(10,000) = 10.

Without using a calculator, how big is H(N)?



ID 7969

LeslieGreen K12We have two standard summation formulae: one for counting numbers, and the other for the squares of counting numbers. Now suppose that instead of having the same number of terms in each we decide to use as many terms as necessary such that the last term in the summation is some horrendously humongously huge value, H.

Which summation is the largest?



ID 7970

LeslieGreen K11A fairly new housing estate of 64 homes, built by a large company, is supplied by a single water main. The boss of the water company is unhappy about water leakage in the installation since the primary water meter reads 10,500 m3 used per year, whereas the individual meters sum up to 10,000 m3.

Legislation requires all water meters to be accurate to ±5%.

Estimate limits for the annual leakage.



ID 7991

LeslieGreen K9The image shows Stirling's Triangle. Each element in a row is generated from just the two elements above it.

In Pascal's Triangle we generate an element E from the left value above, L, and the right value above, R, as E = L + R.

If either L or R does not exist (outside the triangle) we give it a value of 0.

Stirling's Triangle uses a different rule.

What is the missing value?